所屬科目:奧林匹亞生物
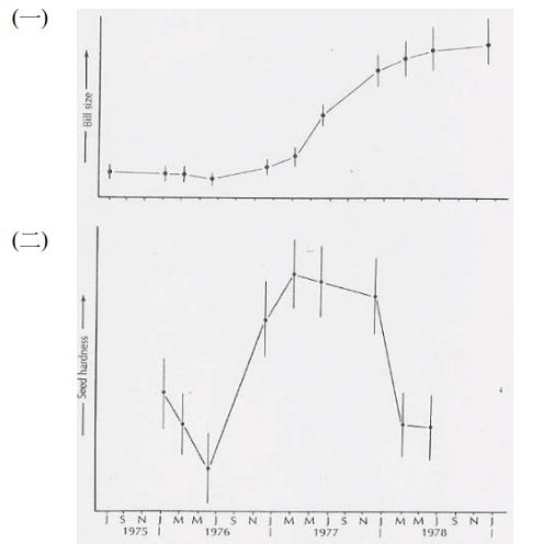
59. 下圖為在加拉巴哥島上一種地雀的喙長變化。橫座標為時間(自 1975-1978), 圖(一)的縱座標為喙的長度,圖(二)的縱座標為種子的硬度,下列敘述何者正確? (A) 1977 年後地雀的嘴變長了,但是預測 1979 年後會逐漸變短 (B) 1976 年中期至 1977 年間,種子的硬度增加許多,但是 1978 年硬度又降 低,因而有可能是環境因子造成種子硬度年間的變異 (C) 假設嘴長的地雀可以吃兩種種子(硬及不硬),而嘴短的僅能吃不硬的,因 而 1976 年中期至 1977 年間種子變硬,嘴長的鳥也就變多了 (D) 這群地雀的鳥嘴會在 1-2 年間變長是受到種子硬度的影響,因而亦可視 為是天擇的結果 (E) 地雀嘴喙長度的變化僅發生在 1-2 年間,時間太短,因此不能視為演化的案例