所屬科目:台電◆測量、土木、建築工程概要
1. 高分子材料PS是指: (A)聚乙烯 (B)聚苯乙烯 (C)聚氯乙烯 (D)尿素甲醛
2. 有關單一材料之脆性破壞,下列敘述何者正確: (A)斷面平整 (B)破壞前無明顯降伏現象 (C)極限應變大 (D)極限應力高
3. 下列統一土壤分類符號所代表的土層,何者最容易於大地震中產生液化? (A) CL (B) GW (C) OH (D) SM
4. 基地作標準貫入試驗(SPT),每貫入土中15公分記錄打擊數一次,若由上而下依序得打擊數為2、4、6、則SPT-N值為: (A) 2 (B) 4 (C) 6 (D) 10
5. 某砂土樣,最緊密時之孔隙比為0.65,最疏鬆時之孔隙比為0.90;若孔隙比為0.75時,其相對密度為: (A) 60% (B) 70% (C) 80% (D) 90%
6. 政府推動符合環保概念的「綠建築」,其意涵為: (A)採鋼結構為主 (B)採鋼筋混凝土為主 (C)採木構造為主 (D)外觀以綠色為主
7. 評估綠建築之「日常節能」指標不包含: (A) HDPEP (B) ENVLOAD (C) Req (D) PACS
8. 影響水泥漿體凝結時間之因素,下列何者正確? (A)稠度愈稀,凝結愈快 (B)溼度愈高,凝結愈快 (C)溫度愈高,凝結愈慢 (D)細度愈大,凝結愈快
9. 混凝土中加入適量飛灰取代水泥,對混凝土性質有何影響? (A)早期強度提高 (B)單位體積重量變小 (C)水化熱變大 (D)增加鹼骨材反應發生機率
10. 拌合混凝土,如使用含多量氯化物之細骨材,其效果為: (A)混凝土早期強度甚佳 (B)混凝土表面光滑平整 (C)強化鋼筋 (D)氧化鋼筋
11. 採用 ACI配比法進行普通混凝土之配比設計時,除強度外,下列何者為決定水灰比時最需考量因素? (A)潛變 (B)乾縮 (C)水化熱 (D)耐久性
12. 建造硫化物之混凝土貯槽,且需低水化熱時,依CNS分類,最適用之卜特蘭水泥為: (A)第二種 (B)第三種 (C)第四種 (D)第五種
13. 依 CNS 製作之混凝土試體(直徑15公分),經標準壓驗程序,加壓至50.3噸時破裂,則此試體之抗壓強度最接近之數值為多少kgf/cm²? (A) 210 (B) 235 (C) 285 (D) 350
14. 煉鋼之熱處理程序中,下列何者可改善結構鋼料之韌性? (A)淬火 (B)回火 (C)退火 (D)正火
15. 建築物內外表面及地坪常採用之磁磚(Tile),下列敘述何者錯誤? (A)陶質磁磚吸水率最低,宜用於外牆 (B)瓷質磁磚吸水率較低,常用於室內地坪 (C)燒成溫度皆達1000℃以上 (D)釉下印花較釉上印花耐久
16. 檜木角材斷面3台寸×8台寸,長12台寸,其材積(單位:才)為: (A) 23 (B) 24 (C) 28.8 (D) 36
17. 規劃混凝土之澆置作業,其工作縫一般設置在: (A)與主應力垂直之方向 (B)與主應力平行之方向 (C)剪力最大處 (D)勿與伸縮縫重疊
18. 水平懸臂樓板,採單層雙向配筋D10@20cm,每根鋼筋面積 0.713cm²,估計每平方公尺樓板之鋼筋量(cm²)為: (A) 3.21 (B) 3.57 (C) 7.13 (D) 14.26
19. 在梁腹兩側加配縱向表層鋼筋,其主要目的為控制: (A)受拉鋼筋處之裂紋寬度 (B)梁腹之裂紋寬度 (C)梁底裂紋寬度 (D)剪力裂紋之寬度
20. 依鋼筋混凝土之設計規範,下列何者錯誤? (A)受撓構材最小鋼筋比為平衡鋼筋比0.14倍 (B)受撓構材最大鋼筋比為平衡鋼筋比0.75倍 (C)受壓構材最小縱向鋼筋面積為構材斷面積0.01倍 (D)受壓構材最大縱向鋼筋面積為構材斷面積0.08倍
21. 下列何者不是開挖擋土期間必須採用之安全監測設備? (A)傾斜儀 (B)應變計 (C)沉陷釘 (D)鑽心機
22. 工業廠房之機械室如因防火需要,門窗宜選用: (A)複層玻璃 (B)加網玻璃 (C)壓花玻璃 (D)泡沫玻璃
23. 建築物之基礎較深、形狀不規則且面積較大,或基地狹窄無作業板可使用時,宜採用: (A)全開挖式工法 (B)逆築開挖工法 (C)順築開挖工法 (D)築島式開挖工法
24. 為緩和流速,防止沖刷以延長水庫壽命,會選擇於上游河床較陡及沖刷較烈處,建造俗稱: (A)防洪壩 (B)蓄水壩 (C)引水壩 (D)攔砂壩
25. 觀光區運輸用纜車,其主索依力學特性,可承受: (A)僅有拉力 (B)拉力及彎矩 (C)壓力及彎矩 (D)拉力及壓力
26. 政府基於發展科技產業之目的所設立之科學工業園區,其都市計劃屬於: (A)國土計畫 (B)主要計畫 (C)特定區計畫 (D)區域計劃
27. 依「土地使用分區管制規則」,供工業使用為主,但需防止嚴重噪音影響附近住宅安寧之管制區屬於: (A)第一類 (B)第二類 (C)第三類 (D)第四類
28. 颱風來襲而造成土石山崩,其直接主要原因為: (A)強風吹落土石 (B)強風造成地的震動移動土石 (C)雨水造成土石強度降低 (D)地表原生植被生長不佳
29. 已知A、B兩點,欲測求C點,若無法於B點架設儀器觀測,而測∠CAB及∠BCA 以定出C點,此法稱: (A)交弧法 (B)側方交會法 (C)前方交會法 (D)後方交會法
30. 下列土地面積何者最大? (A)1公頃 (B)1甲 (C)2900坪 (D)9000平方公尺
31. 已知A點高程50.000公尺,B點高程50.856公尺,架設水準儀於此兩點中央,儀器已校正無誤差,若A點之水準尺讀數為1.423公尺,則B點之水準尺讀數為多少公尺? (A) 1.423 (B) 0.567 (C) 2.279 (D) 0.856
32. G. I. S係指: (A)大地測量系統 (B)地理資訊系統 (C)結構分析系統 (D)衛星導航系統
33. 導線測量之計算包含①角度閉合差②縱橫距閉合差③角度閉合差配賦④座標⑤縱橫距閉合差配賦等五項作業,其正確程序為: (A) 13254 (B) 13245 (C) 21435 (D) 12345
34. 門之開啟方向,下列何者較宜? (A)宿舍寢室通往走道採外開 (B)小貯藏室門採內開 (C)屋頂梯間通往屋頂露台採外開 (D)衛浴室採外開
35.下列有關室內衛生設備附設存水彎之敘述,何者錯誤? (A)為避免臭氣及蟲類經排水管進入室內 (B)水封深度15~30公分最適當 (C)應附有清潔口防止阻塞 (D)水封會因毛細現象而失效
36. 下列有關樓梯之敘述,何者錯誤? (A)樓梯垂直淨空高度至少190公分 (B)最小級深應大於21公分 (C)最大級高不得超過18公分 (D)高度1公尺以下者可免裝設扶手
37. 地面層以上每層居室樓地板面積超過200平方公尺者,其樓梯及平台淨寬應達多少公分以上? (A) 90 (B) 100 (C) 120 (D) 150
38.建築物地下層突出基地超過幾公尺者,應計入建築面積? (A) 0.5 (B) 0.9 (C) 1.0 (D) 1.2
39. 依據建築技術規則,整地完竣後之建築基地如仍有高程差,以每相差多少公尺之水平面作為該部分基地地面? (A) 2 (B) 3 (C) 4 (D) 5
40. 以單向板設計時,下列何者正確? (A)樓板長寬比小於2,主筋配於短向 (B)樓板長寬比大於2,主筋配於長向 (C)樓板長寬比小於2,主筋配於長向 (D)樓板長寬比大於2,主筋配於短向
41. 依建築技術規則,混凝土粗骨材之最大粒徑不得大於鋼筋與鋼筋間或鋼筋與模板間之最小淨距的: (A) 3/4 (B) 1/2 (C) 1/3 (D) 1/5
42. 傳遞鋼構造梁與樓板間橫向水平力者為: (A)腹板 (B)併接板 (C)加勁板 (D)剪力釘
43. 單筋矩形梁,鋼筋之彈性模數為2300000kgf/cm²,混凝土之極限應變採 0.004,則平衡鋼筋比為0.85乘以 (A) 6120/(6120+) (B) 7500/(7500+) (C) 9200/(9200+) (D) 11000/(11000+)
44. 一鋼筋混凝土柱斷面若稱為「壓力控制」,則其標稱軸向載重,偏心距e,標稱彎距,與其在平衡狀態下之軸向載重,偏心距,彎距,正確關係式為: (A)(B)(C) (D)
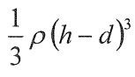
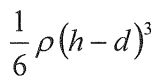
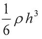
45. 一個底端固定之懸臂式擋水牆,高h,水之比重 p,水面距牆頂 d,則此牆單位寬度所受之最大彎距為: (A) (B) (C)(D)
46. 其剪力圖以下所列何者正確?(正剪力定義為對自由體產生順時針旋轉之趨勢) (A) (B)(C)(D)
47.承上題,該梁最多量鋼筋之斷面在何處? (A)A點 (B) M點 (C) B點 (D) M點及B點
48. 如下圖所示簡支懸臂梁受荷重情形,其彎矩圖以下所列何者正確? (A) (B)(C) (D)
49.如下圖所示簡支桁架,下列敘述何者錯誤? (A)桿內力為張力 (B)桿內力為0 (C)桿內力為12kgf張力 (D)桿內力為16kgf壓力
50.如下圖所示,求D點反作用力? (A) 50 kgf↑ (B) 100 kgf↗ (C) 150 kgf↑ (D) 300↗ kgf/