阿摩線上測驗
登入
首頁
>
技師◆鋼鐵冶金學
> 96年 - 96 專技高考_冶金工程技師:鋼鐵冶金學#39330
96年 - 96 專技高考_冶金工程技師:鋼鐵冶金學#39330
科目:
技師◆鋼鐵冶金學 |
年份:
96年 |
選擇題數:
0 |
申論題數:
7
試卷資訊
所屬科目:
技師◆鋼鐵冶金學
選擇題 (0)
申論題 (7)
⑴ Stoke’s law,並利用 Stoke’s law 說明如何掌握盛鋼桶攪拌(ladle stirring)對夾渣(inclusion)的控制(20 分)
⑵盛鋼桶精煉(Ladle refining)主要的功能
⑴高爐(blast furnace)由鐵礦提煉生鐵(pig iron or raw iron)的主要化學反應(20 分)
⑵高爐爐渣的主要成份及組成為何
三、為何轉爐煉鋼在煉鋼過程,除操作爐體運轉外不需太多的能源? (20 分)
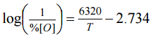
【已刪除】四、設在 1600℃時煉鋼在爐渣作用下,所測得平衡時之鋼水氧含量為 0.1%,試求該爐 渣(FeO)的活度(activity)大小? (20 分) 註:已知純氧化亞鐵(FeO)渣作用下純鐵水的氧含量與溫度的關係為
五、請說明鋼鐵連續鑄造常見的缺陷及其形成之原因。 (20 分)
相關試卷
111年 - 111 專技高考_冶金工程技師:鋼鐵冶金學#111857
111年 · #111857
109年 - 109 專技高考_冶金工程技師:鋼鐵冶金學#93300
109年 · #93300
107年 - 107 專技高考_冶金工程技師:鋼鐵冶金學#72983
107年 · #72983
103年 - 103 專技高考_冶金工程技師:鋼鐵冶金學#25223
103年 · #25223
101年 - 101 專技高考_冶金工程技師:鋼鐵冶金學#26308
101年 · #26308
99年 - 99 專技高考_冶金工程技師:鋼鐵冶金學#29665
99年 · #29665
98年 - 98 專技高考_冶金工程技師:鋼鐵冶金學#33690
98年 · #33690
97年 - 97 專技高考_冶金工程技師:鋼鐵冶金學#33689
97年 · #33689
95年 - 95 專技高考_冶金工程技師:鋼鐵冶金學#37655
95年 · #37655