阿摩線上測驗
登入
首頁
>
研究所、轉學考(插大)-應用數學
> 96年 - 96 淡江大學 轉學考 應用數學#55961
96年 - 96 淡江大學 轉學考 應用數學#55961
科目:
研究所、轉學考(插大)-應用數學 |
年份:
96年 |
選擇題數:
0 |
申論題數:
8
試卷資訊
所屬科目:
研究所、轉學考(插大)-應用數學
選擇題 (0)
申論題 (8)
1 Show that the area A enclosed by a simply connected curve C : x
2/3
+ y
2/3
= 4 in the x-y plane is 24π. (15 points)
2. A matrix is both Hermitian and Unitary. Show that its eigenvalues are ±1, (15 points)
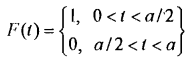
【已刪除】3. Find (he Laplace transformation of the square wave with period of a defined by
(15 points)
【已刪除】4. Suppose that/(jc) = jc',/2is a self-reciprocal under Fourier cosine transform, apply the given result and evaluate the Fresnel integral
(15 points)
【已刪除】5’ Given
=π ln 2, show that
(15 points)
6, Given/(jc) = (x + 1)
2
,-1≤x≤1) expand f(x) in terms of Legendre polynomials. (10 points)
【已刪除】7. (a) Write down ftinction form of Legendre polynomials
(5 points)
【已刪除】(b) Using
, show that
(10 points)
相關試卷
110年 - 110 國立中央大學_碩士班招生考試_天文研究所:應用數學#110498
110年 · #110498
110年 - 110台灣聯合大學系統_碩士班招生考試_物理類:應用數學#104952
110年 · #104952
110年 - 110 國立中央大學_碩士班招生考試_大氣科學學系大氣物理:應用數學#103883
110年 · #103883
110年 - 110 國立中央大學_碩士班招生考試_太空科學與工程學系:應用數學#103880
110年 · #103880
110年 - 110 國立臺灣大學_碩士班招生考試_海洋所物理與化學與地物組(3組聯招):應用數學(B)#100219
110年 · #100219
103年 - 103 淡江大學 轉學考 應用數學#55466
103年 · #55466
102年 - 102 淡江大學 轉學考 應用數學#53110
102年 · #53110
101年 - 101 淡江大學 轉學考 應用數學#55467
101年 · #55467
100年 - 100 淡江大學 轉學考 應用數學#55469
100年 · #55469
99年 - 99 淡江大學 轉學考 應用數學#55470
99年 · #55470