阿摩線上測驗
登入
首頁
>
工程數學(應用數學, 線性代數、微分方程、複變函數與機率)
> 96年 - 96 高等考試_二級_醫學工程:工程數學#38081
96年 - 96 高等考試_二級_醫學工程:工程數學#38081
科目:
工程數學(應用數學, 線性代數、微分方程、複變函數與機率) |
年份:
96年 |
選擇題數:
0 |
申論題數:
8
試卷資訊
所屬科目:
工程數學(應用數學, 線性代數、微分方程、複變函數與機率)
選擇題 (0)
申論題 (8)
【已刪除】一、試解:
(20 分)
⑴求出`靜止位置'( a
0
,b
0
) ,使得:這微分方程式有一個解是:
x(t) ≡ a
0
, y(t) ≡ b
0
。
【已刪除】⑵那麼,改用 ξ := x − a
0
,η := y − b
0
做為變數,把原方程式改寫為:
其中 ∈
1
,∈
2
都是高次項。請寫出方陣
⑶求 C 的固有值。(不用算固有向量。)
⑷如果這個方程組有一個解(x(t), y(t)),而初期位置(x(0), y(0))很接近(a
0
,b
0
) ,求: 當t → ∞時,(x(t), y(t))的極限。
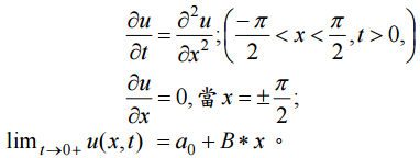
【已刪除】三、考慮(`兩邊都是反射壁'的)熱傳導問題:(20 分)
。
請用(對於 x 的)Fourier(富利葉)展開式,表達這個解答u = u(x,t)。
【已刪除】四、對於兩個向量 b = b
1
i + b
2
j + b
3
k,與 c,我們用 b × c 表示其向量積,故其第一成分為: b
2
∗ c
3
− b
3
∗ c
2
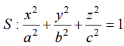
,等等。(其中 i, j, k,是三軸上的單位向量。)今設a > b > c > 0為三 個常數,記常數向量 a= ai+ bj+ c k,再令:x= x i+ y j+ z k 為位置向量;於是可以 定義一個向量場 F 為:(20 分)
F(x, y,z):=a × x;
現在在橢球面 :
上,用 n 表示單位法向(向外),d A 表示`微分面積',試計算
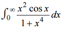
【已刪除】五、計算
(20 分)
相關試卷
114年 - 114 專技高考_電機工程技師:工程數學(包括線性代數、微分方程、複變函數與機率)#133679
114年 · #133679
114年 - 114 專技高考_電子工程技師:工程數學(包括線性代數、微分方程、向量分析、複變函數與機率)#133677
114年 · #133677
114年 - 114 調查特種考試_三等_電子科學組:工程數學#129578
114年 · #129578
114年 - 114 國家安全情報特種考試_三等_電子組(選試英文):工程數學#127780
114年 · #127780
113年 - 113 專技高考_電子工程技師:工程數學(包括線性代數、微分方程、向量分析、複變函數與機率)#123976
113年 · #123976
113年 - 113 專技高考_電機工程技師:工程數學(包括線性代數、微分方程、複變函數與機率)#123971
113年 · #123971
113年 - 113 調查特種考試_三等_電子科學組:工程數學#122110
113年 · #122110
113年 - 113 身心障礙特種考試_三等_電力工程:工程數學#119517
113年 · #119517
112年 - 112 地方政府特種考試_三等_電力工程、電子工程:工程數學#118376
112年 · #118376
112年 - 112 專技高考_電機工程技師:工程數學(包括線性代數、微分方程、複變函數與機率)#117639
112年 · #117639