所屬科目:國營事業◆1.應用力學 2.運動學
1. 牛頓三大運動定律中之第一運動定律為何?(A) 虎克定律(B) 反作用力定律(C) 萬有引力定律(D) 慣性定律
2. 一物體與地面接觸所受的滑動摩擦力其作用方向與物體欲移動方向之關係為何?(A) 相同(B) 相反(C) 不一定(D) 視接觸之正向力大小而定
3. 若一質點所受合力為零,則此質點的運動狀態不可能為下列何者?(A) 靜止(B) 等速運動(C) 直線運動(D) 曲線運動
4. 下列何者不是公制(International system of units)的單位?(A) inch(in)(B) newton(C) second (s)(D) kilogram (kg)
5. 力學中之力矩(moment)向量可藉由位置向量與力向量之何種運算求得?(A) 內積(B) 外積(C) 向量和(D) 向量差
6. 下列何者與摩擦力無關?(A) 騎腳踏車前進(B) 跑步(C) 螺紋千斤頂舉重(D) 火箭於外太空飛行
7. 一部車由靜止出發在直線跑道上前進,其速度與時間的關係為v = (3t² + 2t) m/s, 其中時間t的單位為s(秒)。請問當t=3s時,車子走了多遠?(A) 12m(B) 24m(C) 36m(D) 48m
8. 欲維持系統靜止之張力T為何?(A) (B) (C) W(D)W
9. 承上題, 若θ為0°,欲維持系統靜止之張力T為何?(A) (B) (C) W(D)W
10. 請問小球的最終位置與其初始位置之水平距離為何?(A) R(B)R(C)R(D) R
11. 承上題,最後靜止時,請問大球殼的最終位置與其初始位置之水平距離為何?(A) R(B) R(C) R(D) R
12. 則整個系統由靜止釋放時,A、B與C三物體之加速度值為何?(A) g(B) g(C)g(D)g
13. 承上題,連結A、B之細繩上之張力為何?(A)mg(B)mg(C) mg(D) mg
14. 求最初A的擺角為:(A) 60°(B) 37°(C) 45°(D) 53°
15. 承上題,A、B碰撞後之瞬間,物體B之速度為何?(A) 1.0 m/s(B) 1.2 m/s(C) 1.4 m/s(D) 1.6 m/s
16. 請問使得水平射距最遠之初始發射角度θ為何?(A) 30°(B) 37°(C) 45°(D) 60°
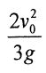
17. 承上題,最遠的水平射距為何?(A) (B) (C) (D)
18. 一個繞地球圓形軌道運行的人造衛星,其軌道高度為h(距地球表面)。假設地球為半徑R之球體且地表之重力加速度為g,則此人造衛星的運行速度為:(A)(B) (C) (D)
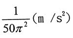
19. 某物體在半徑8公尺之圓周上,作等速率圓周運動,2秒內轉20圈,則此等速率圓周運動之「向心加速度」是多少?(A) 4000 π² (m/s²)(B) 3200 π² (m/s²)(C)(D)
20. 依據「動量守恆」,3公斤的甲物體以20 m/s速度在光滑地板上運動,並與靜止的乙物體碰撞後,兩者合而為一繼續前進運動,且其速度為6 m/s,求乙物體的質量?(假設碰撞過程無能量損失,且忽略地板上之摩擦力)(A) 6公斤(B) 7公斤(C) 8公斤(D) 9公斤
21. 作簡諧運動的某物體其「位置與時間的關係式」為:x = 12sin,並且採用MKS制,求此簡諧運動的振幅?(A) 6 (公尺)(B) 12 (公尺)(C) 18 (公尺)(D) 3 (公尺)
22. 質量為M的物體作垂直上拋運動,其初速為V,當此物體之速度減半時,其上升之高度是多少?(假設重力加速度為g)(A) (B) (C) (D)
23. 關於「拋體運動」的敘述,下列何者正確?(A) 「斜向拋射運動」在最高點時,速度為零(B) 「斜向拋射運動」在最高點時,加速度為零(C) 「鉛直上拋運動」在最低點時,「總能量」最大(D) 「斜向拋射」與「鉛直上拋」皆為「等加速度」運動
24. 關於「傳統型指針式時鐘」的指針可視為典型之「等速率圓周運動」,以下時鐘指針「角速度」的敘述,下列何者正確?(A) 秒針的角速度為 rad/s (rad為徑度)(B) 分針的角速度為rad/s(C) 時針的角速度為rad/min(D) 秒針的角速度為rad/s
25. 甲、乙兩衛星分別環繞地球做等速率圓週運動,已知兩者的週期比值為 T1/T2 = 8,則兩者的速率比值 V1/V2 為:(A) 4(B) 2(C) 1(D) 1/2
26. 一質量為75公斤的人,手持5.0公斤的球,乘坐在一質量為20公斤的車子上,車子在平直光滑的軌道上以3.0公尺/秒的速度前進。如將球沿車行方向水平拋出,球拋出的瞬間相對於人的速度為12.0公尺/秒,則球拋出後車子對地的速度為多少公尺/秒?(A) 1.5(B) 2.4(C) 3.6(D) 1.2
27. 在無摩擦的桌面上有相接觸的2木塊,施予一水平力於其中一塊,若 m1 = 2kg, m2 = 3kg, F = 20N,下列敘述何者正確?(A) 2 木塊有相同之加速度 5 m/s²(B) m1 受 12N 的淨作用力(C) m1 對 m2 施力 8N(D) m2 對 m1 施力 12N
28. 質量為M的硬幣一枚置於留聲機唱盤上距中心為R之處,硬幣與唱盤間靜摩擦係數為4g,當唱盤轉速增加至角速度為ω0時,硬幣恰巧飛出,重力加速度為g,則ω0=(A) (B)(C)(D) µggR
29. 右圖中3物體在一直線上,右方有2物體稍為分開,左方物體以速率V0射入,設為正向彈性碰撞,則(A) 若M>m,將發生2次碰撞(B) 若M<m,將發生2次碰撞(C) 若M>m,最後3物體將同方向運動(D) 若 M<m,最後3物體將同方向運動
30. 一輪轉動時角加速度為 x=4ať²-3bt²,其中t是時間,a和b是常數,若輪的初角速率為0,則:(A) 角速率對時間關係式為ω=at²-bt³(B) 時間為 tr與時間為0時之轉角度差為ωotf+atf5/5-btf4/4(C) 角速率對時間關係式為ω=12at²-6bt(D) 此輪進行等角加速度轉動
31. 一均向性材質的桿件(波松比v=0.30),承受1000磅軸向拉力作用時,其對應之軸向應變值為1000μ,試問此桿件之側向應變值應為:(A) 收縮 1000 μ(B) 收縮 300 μ(C) 膨脹 1000 μ(D) 膨脹 300μ
32. 如右圖所示,分別為承受P軸向拉力作用之不同桿件,若儲存於圖(a)圓桿中的應變能為U₁=P²L/(2EA),那麼儲存於圖(b)圓桿件的應變能為:(A) 5U1/4(B) 2U1/9(C) 7U1/16(D) 5U1/3
33. 兩個線性彈簧,其彈性係數分別為100 N/cm及 25 N/cm,將此二彈簧串聯於一端固定,並於另一端施力50N,則此串聯彈簧共伸長:(A) 2.5cm(B) 0.8cm(C) 0.67cm(D) 0.4cm
34. 在平面應力系統下的應力態為σx = 54 ksi,σy = 30 ksi, τxy = 5 ksi 試問其最大剪應力為:(A) 29 ksi(B) 55 ksi(C) 13 ksi(D) 56 ksi
35. 若相同彎矩力荷重作用於同一材質與相同面積之圓形及正方形截面樑,當考慮重量條件限制(輕量化)的因素下,你會選擇:(A) 圓形樑(B) 正方形樑(C) 兩者皆可(D) 無法選擇
36. 剖面如右圖之結構承受垂直方向力作用時,試問其剪力中心位置會在何處?(A) A區(B) B區(C) C區(D) D區
37. 懸臂樑在自由端受集中力或是承受總載重相等的均佈力作用時,那種受力情況之變形比較大?(A) 集中力(B) 均佈力(C) 一樣大(D) 不能比較
38. 二根相同之樑,一根兩端為簡支撐,另一根兩端為固定支撐邊界條件,於兩者中點各施以相等之負荷,試求其儲存之應變能之比例為何?(A) 2:1(B) 3:1(C) 4:1(D) 9:1
39. 下圖為桁架(Truss)結構,P≠0,在編號1~7桿件中,其不受力桿件應為:(A) 桿3、5(B) 桿4、6、7(C) 桿5、6、7(D) 桿1、3、6、7
40. 下列何者為剪力流(shear flow)單位?(A) kgf(B) lbf/in²(C) kgf/m(D) kgf/m³
41. 等斷面圓桿長度為L,直徑為d,彈性模數為E,一端固定,另一端施加一扭矩T,於桿L/2處的應力狀態(忽略端點效應),下列何者正確?(A) 最大剪應力為16T/(πd3)(B) 最大剪應力為16T/(Eπd3)(C) 最大張應力為8TL/(πd3)(D) 最大張應力為8TL/(Eπd3)
42. 有一柱截面積A,長L,密度ρ,全重W,楊氏模數為E,由於自重所產生之伸長量δ為何?(A) (B) (C) (D)
43. 如圖,當載重P逐漸增大,A、B兩點會產生塑性鉸,其承受之塑性彎矩為Mp,求此時Pu=?(A) (B) (C) (D)
44. 何者為穩定平衡?(A) (B) (C)(D)
45. 已知重力加速度為 g = 32.2 ft/sec²,且 1 英磅力量作用於質量 1 slug 的物體會產生 1 ft/sec² 加速度,則 1 slug 最接近下列何質量?(A) 1 公斤(B) 6.6 英磅(C) 6.6 公斤(D) 14.6 公斤
46. 一般而言,鋼材之楊氏模數 (E) 約為鋁材之幾倍?(A) 1~2 倍(B) 2~3 倍(C) 4~5 倍(D) 5~10 倍
47. 如右圖,試求 D 斷面的彎矩。(A) 450 N-m(B) 600 N-m(C) 900 N-m(D) 1200 N-m
48. 如下圖所示桁架 (Truss) 結構,桿 AB 受力為何?(A) 1200 lb 壓力(B) 1200 lb 張力(C) 1600 lb 壓力(D) 1600 lb 張力
49. 如圖,一正方體邊長為 a,受一作用力 P,對 的力矩大小為:(A) (B) (C) (D)
50. 一般鋼鐵材料波松比 v (Poisson's ratio) 的範圍為?(A) 0.1~0.2(B) 0.15~0.25(C) 0.25~0.35(D) 0.4~0.55