所屬科目:(甄試)警大◆火災學
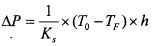
11.熱量傳遞的過程包括傳導、對流與輻射等,在固體表面與流體間之熱量傳遞,可依照所謂牛頓之熱對流公 式為何?[:熱對流量(W)h對流換熱係數(W/m2·K;T:溫度(K);A:截面積(m2)〕 AT (A) (B) (C)(D)
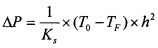
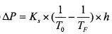
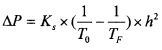
17.火場中所產生大量之煙霧,因密度低而具浮力一般表示著火房間內外所產生的壓差方程式為何?〔△P 壓差(Pa);Ks:常數(3460Pa·Km); To:室外溫度(K);TF:室內溫度(K);h:距中性帶距離(m)〕 (A) (B)(C) (D)
24.火災在燃燒可以持續的條件下,有向四週無限擴大的特性,在不受其它因素影響下,通常其燃燒的面積 與經過時間有何關係? (A)燃燒的面積與經過時間成正比 (B)燃燒的面積與經過時間的平方成正比(C)燃燒的面積與經過時間的平方成反比(D)燃燒的面積與經過時間成反比
30.一般可燃性液體,其引火點在100℃以下物質,通常不具有何種特性? (A)富流動性,一般較水為輕 (B)易溶於水 (C)多數對人體有害 (D)引火點與燃燒點極為接近
33.有關於煙囪效應之敘述,下列何者正確?(A)如果火災發生在建築物中性帶以上區域,煙不會隨煙囪效應由該層之開口直接排出(B)如果火災發生在建築物中性帶以下區域,煙隨煙囪效應由垂直通道向上竄升(C)如大樓內部夏天因設有空調系統,溫度較大樓外部低,會產生逆煙囪效應(D)建築物室內火場溫度高低,會改變煙囪效應之中性帶 (E)火場中建築物電力常會中断,因此火場溫度上昇,煙囪效應不會轉變方向
35有關静電火花之能量敍述,下列何者正確?其為帶電體具有之能量;V為電壓;Q為電荷;C為静 電容量) (A) (B)帶電體放電而電荷喪失時,帶電體具有之能量即變為静電火花之能量 (C)(D)静電之危險性,由電壓或電荷單獨可決定 (E)
39.對耐火建築物最盛期燃燒之敘述,下列何者正確? (A)是屬於燃料控制燃燒 (B)是屬於通風控制燃燒 (C)地下室較易產生通風控制燃燒之情形 (D)燃料控制燃燒時之燃燒速度是由燃料之表面積所控制 (E)火災進入閃燃後即進入衰退期