阿摩線上測驗
登入
首頁
>
統測◆05化工群◆(一)普通化學、普通化學實驗、分析化學、分析化學實驗
> 97年 - 97 四技二專統測_化工類_專業科目(一):化學#21433
97年 - 97 四技二專統測_化工類_專業科目(一):化學#21433
科目:
統測◆05化工群◆(一)普通化學、普通化學實驗、分析化學、分析化學實驗 |
年份:
97年 |
選擇題數:
50 |
申論題數:
0
試卷資訊
所屬科目:
統測◆05化工群◆(一)普通化學、普通化學實驗、分析化學、分析化學實驗
選擇題 (50)
1. 若 n 為主量子數,則下列何者為週期表中鋁族 ( IIIA 族 ) 原子的基態價電子組態? (A) np
3
(B)ns
2
np
3
(C)ns
2
np
1
(D)ns
2
np
1
nd
10
2. 下列那一個原子在基態 ( ground state ) 時含有未成對電子? (A) He (B) Be (C) C (D) Ne
3. 下列那一個氧化物的水溶液鹼性最強? (A) CO
2
(B) Na
2
O (C) MgO (D) Al
2
O
3
4. 下列何者為離子化合物? (A) HCl (B) AlCl3
(C)CH
3
OH (D) H
2
SO
4
5. 下列化合物中,何者含有雙鍵? (A) 二氧化碳 (B) 丙烷 (C) 乙醇 (D) 四氯化碳
6. 下列那一化合物可生成分子間氫鍵? (A) 醋酸 (B) 丙烷 (C) 二氧化碳 (D) 丙酮
7. P 型半導體是在矽晶中加入下列何種元素? (A) B (B) Sb (C) As (D) P
8. 下列含氯化合物中,何者酸性最強? (A) CHCl
3
(B)HOCl (C) CH
3
Cl (D) HClO
3
9. 下列那一種化合物是目前最常用的白色顏料? (A) Cu
2
O (B) KMnO
4
(C) SiO
2
(D) TiO
2
10. 下列有關粗銅以電解法製造精製銅的敘述,何者正確? (A) 粗銅置於陰極 (B) 電解槽底部含金、銀等雜質稱為陰極泥渣 (C) 電解液常用CuS水溶液 (D) 電解液常用CuSO
4
水溶液
11. 某放射性元素半生期為 1 小時,則經過 3 小時放射後,其放射強度為原來多少倍? (A) 1/ 2 (B) 1/ 4 (C) 1/ 8 (D) 1/ 16
12. 就放射線 α ,β 與 γ 而言,其下列性質何者正確? (A) 行進速率:α >β >γ (B) 穿透能力:α >β >γ (C) γ 射線行進方向不受電場影響 (D) α 粒子質量最小
13. 下列有機化合物中,何者的沸點最高? (A) 丙酮 (B) 丙烯 (C) 二氯丙烷 (D) 丙三醇
14. 下列那一種化合物,可用以製造耐隆工程塑膠或纖維? (A) 丙烯 (B) 苯乙烯 (C) 己內醯胺 (D) 丙酮
15. 下列那一種化合物,可以被多侖試劑 ( Tollen’s reagent ) 氧化? (A) C
6
H
6
(B) CHCOCH
3
(C) CH
3
CHO (D) CH
3
COOH
16. 乙醛在碘的鹼性溶液中共熱,可以生成下列那一化合物? (A) CHI
3
(B) CH
3
I (C) CH
2
I
2
(D) CH
4
17. 丙烯腈是製造下列那一種產品的主要原料? (A) 保麗龍 (B) 聚乙烯 (C) 奧龍 (D) 聚氯乙烯
18. 苯環上有那一種取代基存在時,可使其磺酸化反應比苯快? (A) –CN (B) – NO
2
(C) –CH
3
(D) –COOH
19. 某 3 公克的 He 所含有的原子數目,跟下列何者之原子數目相等? ( 原子量:H=1,He=4,C=12,O=16,S=32 ) (A) 16 公克的SO
2
(B) 32 公克的O
2
(C) 32 公克的CH
4
(D) 22 公克的CO
2
20. 在 0.5 公斤的Fe
2
O
3
‧ 物質中,含鐵多少公克? 2H
2
O ( 原子量:Fe=56,H=1,O=16 ) (A) 143 (B) 286 (C) 350 (D) 571
21. 某化合物中,氧的重量百分率為 28 %,其餘為錳元素,則其實驗式為何? ( 原子量:Mn = 55,O=16 ) (A) MnO
2
(B) MnO (C) Mn
2
O (D) Mn
3
O
4
22. 已知
H
2(g )
+1/ 2 O
2(g )
⇌H
2
O
(l)
+ 68kcal
C
(s)
+O
2(g )
⇌ CO
2(g )
+94kcal
C
( s)
+2H
2(g )
⇌ CH
4(g )
+18kcal 則 1 莫耳的甲烷完全燃燒的反應熱 ( H∆ ) 為多少kcal ? (A) –44 (B) –144 (C) –180 (D) –212
23. 試求完全燃燒 2.28 公克的辛烷 (C
8
H
18
) ,需要氧 (O
2
) 多少公克? ( 原子量:C=12,H=1 ) (A) 0.64 (B) 4.0 (C) 8.0 (D) 64
24. 由 TiCl
4
製備鈦 (Ti ) 的反應方程式是: TiCl
4
+ 2Mg → Ti+ 2MgCl
2
,試問 1000 公克 TiCl
4
和 320 公克 Mg 反應,鈦的理論產量為多少公克? ( 原子量: Ti = 47.9, C =l 35.5,Mg =24.3 ) (A) 328 (B) 278 (C) 252 (D) 221
25. 已知某理想氣體在 300 mmHg 下,體積是 10.0 公升,當該氣體等溫膨脹成為 20.0 公升時, 其壓力變成多少 mmHg? (A) 600 (B) 450 (C) 300 (D) 150
26. 一汽球內裝理想氣體,在 27℃ 時體積為 3.0 公升,定壓下,若溫度降為零下 73℃ 時,該 汽球體積變為多少公升? (A) 5.0 (B) 4.0 (C) 3.0 (D) 2.0
27. 假設甲烷是理想氣體,請問 16 公克的甲烷 (CH
4
) 在 27℃ 與 0.5atm 下,體積是多少公升? ( 原子量:C=12,H=1 ) (A) 60.0 (B) 56.2 (C) 49.2 (D) 37.5
28. 某一重量為 0.3 公克的理想氣體,在 27℃,0.5 atm 時體積為 0.2 公升,請問該氣體的 分子量是多少? (A) 59.1 (B) 66.4 (C) 73.8 (D) 82.3
29. 在相同條件下,氦氣 ( He ) 與二氧化硫 (SO
2
) 氣體逸散通過同一小孔,請問氦氣體通過 小孔的速率是二氧化硫的多少倍?( 原子量:He =4,S=32,O=16 ) (A) 5 (B) 4 (C) 3 (D) 2
30. 下列敘述,何者不是永久硬水軟化時所進行的反應?
(A) Ca ( HCO
3
)
2
CaCO
3
+H
2
O +CO
2
(B) CaSO
4
+ Na
2
CO
3
→ CaCO
3
+ Na
2
SO
4
(C) Ca
2+
+ 2NaAlSiO
4
( 天然泡沸石 )→ Ca (AlSiO
4
)
2
+ 2Na
+
(D) MgSO
4
+ Na
2
CO
3
→ MgCO
3
+ Na
2
SO
4
31. 一大氣壓下,某水溶液含有 2 % 可溶的、非揮發性、有機非電解質溶質,此溶質之實驗式 為CH
2
O,若此水溶液凝固點為 –0.210℃,則此有機化合物之分子式為何? ( 水的凝固點下降常數 K
f
=–1.86℃/m )
(A) CH
2
O (B) C
3
H
6
O
3
(C) C
6
H
12
O
6
(D) C
5
H
10
O
5
32. 在一大氣壓下,將各為 1 莫耳的下列物質溶入 1 公升的水中,請問含有下列那一種物質的 水溶液沸點最低? (A) NaOH (B)MgCl
2
(C) NaCl (D) C
6
H
12
O
6
33. 將50公克的CuSO
4
‧ 晶體溶於 5H
2
O 182公克的水中,則其 CuSO
4
的重量莫耳濃度為多少m? ( 原子量:Cu =64,S=32,H=1,O=16 ) (A) 2.0 (B) 1.5 (C) 1.0 (D) 0.5
34. 下列敘述何者不正確? (A) 18K 金是一種溶液 (B) 碘酒是碘和碘化鉀的酒精溶液 (C) 水溶液中之溶質若會解離成離子,則該水溶液可導電 (D) 同溫下,鹽水溶液的蒸氣壓一定大於純水的蒸氣壓
35. 在室溫下,甲、乙兩種純液體的蒸氣壓分別為 300 mmHg 與 200 mmHg,假設甲、乙 兩液體混合可生成理想溶液,且在室溫下達平衡時,蒸氣中甲、乙之莫耳分率相等,請問 此理想溶液之蒸氣壓是多少 mmHg? (A) 120 (B) 200 (C) 240 (D) 500
36. 在化學反應 2N
2
O
5(g )
→4NO
2
+
O2(g )
中,已知在某時間點 NO
2
的生成速率為 4.0 × 10
− 4
M /s ,則同一時間 N
2
O
5
的分解速率為多少M /s ? (A) 1.0× 10
− 4
(B) .0 × 10
− 4
(C) 4.0× 10
− 4
(D) 8.0 × 10
− 4
37. 已知某一化學反應的活化能為 88 kJ,假設該反應的反應熱為 –60 kJ,則其逆反應的活化能 為多少 kJ? (A) –88 (B) 28 (C) 60 (D) 148
38. 對化學反應 N
2(g )
+ 3H
2(g )
⇌ 2NH
3(g )
而言,在真空密閉容器中,進行下列那一種程序, 一定無法建立起前式的化學平衡?
(A) 只置入 2.5mol N
2(g )
及 2.5mol H
2(g )
(B) 只置入 2.5mol
N2(g )
及 5.0 mol NH
3(g )
(C) 只置入 5.0mol NH
3(g )
(D) 只置入 7.5mol H
2(g )
39. 密閉系統中,下列那一個已平衡的化學反應,在溫度一定時將反應系統體積縮小,會使 平衡向左移動? (A) H
2(g )
+ Cl
2(g )
⇌2HCl (g )
(B) 2 SO
2(g )
+O
2(g )
⇌ 2SO
3(g )
(C) 2NH
3(g )
⇌ N2(g )
+ 3H
2(g )
(D) 4Fe
(s)
+ 3O
2(g )
⇌ 2Fe
2
O
3(s)
40. 已知 25 ℃ 時 Cu(OH)
2
的溶度積常數 K
sp
= 1.6× 10
−19
,請問 25℃ 時 Cu(OH )
2 (s)
在 0.10 M 的 NaOH 水溶液中的溶解度為多少 M? (A)8.0 × 10
−19
(B)4.0 × 10
−18
(C) 1.6×10
-17
(D) 3.4 ×10
-7
41. 下列有關酸鹼滴定之敘述,何者正確? (A) 以強酸滴定弱鹼時,達當量點時,溶液 pH 值等於 7 (B) 以強鹼滴定弱酸時,先達當量點 ( 當量數相等 ) 再達中和點 ( pH = 7 ) (C) 在特定溫度下滴定,水溶液中水的離子積常數 ( K
W
= 〔H〕‧〔OH〕) 都相同 (D) 以 0.10 M 的HCl 水溶液滴定 40.0 ml、0.10 M 的 NH
3
水溶液時,可選擇酚酞當指示劑 ( 酚酞之變色範圍為 pH = 8.2 ~ 10.0 )
42. 下列那一組混合水溶液具有酸鹼緩衝溶液的特性? (A) l 1.0 M CH
3
COONa 200m 與 1.0 M HCl 100ml
(B) l 1.0 M NH
3
100m 與 1.0 M HCl 150ml
(C) l 1.0 M NH
3
100m 與 1.0 M CH
3
COONa 100ml
(D) l 1.0 M CH
3
COOH 100m 與 1.0 M NaOH 150ml
43. 已知AgCl 在 1.0 公升 0.1 M 的 NaCl水溶液之溶解度為2.0 ×10
− 9
M ,試問其在純水中之 溶解度約為多少 M? (A) 4.5 ×10
−4
(B) 1.4 × 10
-5
(C) 1.0 ×10
-9
(D) 2.0 ×10
-10
44. 下列有關水溶液的敘述,何者正確? (A) 若H
2
SO
4
是強酸,則 0.001 M 硫酸溶液之 pH 等於 3.0 (B) 50℃ 之純水,其 K
W
= 5.5× 10
−14
,則其pH + pOH < 14 (C) 50℃ 時,10
−8
M 之HCl 水溶液,其 pH 等於 8 (D) 在 50℃ 時,〔 H
+
〕 = 1.0× 10
− 7
M 之水溶液呈中性
45. 有關化學反應:10I
-
+2MnO
4
-
+ 16H
+
→5I
2
+Mn
2+
+8H
2
O 中,下列敘述何者正確? (A) MnO4
−
是氧化劑 (B) I
-
得到電子 (C) MnO
4
-
被氧化 (D) Mn 的氧化數由 –1 變為 +2
46. 下列為硫化銅與濃硝酸的反應方程式:
若方程式平衡至係數為最小整數比,則 H
+
和 NO
3
−
的係數和為多少? (A) 6 (B) 5 (C) 4 (D) 2
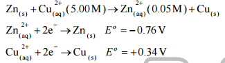
47. 已知鋅銅電池的反應式,濃度條件及標準還原電位如下,則室溫下,該電池的電動勢為 多少伏特?
(A) 1.16 (B) 1.10 (C) 1.04 (D) –0.28
48. 以 8 安培的電流電解融熔的 MgCl
2
,歷時為 5 小時,則理論上可製得鎂多少公克? ( 原子量:Mg = 24.3 ) (A) 72.4 (B) 36.2 (C) 18.2 (D) 1.49
49. 室溫時,下列那一種離子會與 Ca
2+
離子在水中生成沉澱 ( 意即在水中的溶解度小於 0.1 M )? (A) NO
3
−
(B) C
2
O
4
2−
(C) C l
−
(D) ClO
4
-
50. 含 MgCl
2
的不純樣品 1.190 公克,經溶解後,與過量沈澱劑 ( NH
4
)
2
HPO
4
反應,使完全 生成 NH
4
MgPO
4
沉澱,將此沉澱物灼熱得 1.113 公克的Mg
2
P
2
O
7
。請問上述 MgCl
2
不純 樣品中含多少重量百分率的 MgCl
2
?( 原子量:Mg = 24.3,P=31,Cl = 35.5,O=16 ) (A) 80 % (B) 40 % (C) 20 % (D) 10 %
申論題 (0)
相關試卷
115年 - 115 身心障礙學生升學大專校院甄試試題_四技二專組_化工群_專業科目(二):普通化學、普通化學實習、分析化學、分析化學實習#139532
115年 · #139532
115年 - 115 四技二專統測_化工群_專業科目(二):普通化學、普通化學實習、分析化學、分析化學實習#139343
115年 · #139343
114年 - 114 四技二專統測_化工群_專業科目(二):普通化學、普通化學實習、 分析化學、分析化學實習#137788
114年 · #137788
114年 - 114 身心障礙學生升學大專校院甄試試題_四技二專組(化工群):普通化學、普通化學實習、 分析化學實習#137250
114年 · #137250
113年 - 113 身心障礙學生升學大專校院甄試試題_四技二專組_化工群_專業科目(二):普通化學、普通化學實習、分析化學、分析化學實習#125678
113年 · #125678
113年 - 113 四技二專統測_化工群:專業科目(二):普通化學、普通化學實習、分析化學、分析化學實習#122123
113年 · #122123
112年 - 112 身心障礙學生升學大專校院甄試試題_四技二專組_化工群_專業科目(二):普通化學、普通化學實習、分析化學、分析化學實習#118615
112年 · #118615
112年 - 112 四技二專統測_化工群:專業科目(二):普通化學、普通化學實習、分析化學、分析化學實習#117775
112年 · #117775
111年 - 111 身心障礙學生升學大專校院甄試試題_四技二專組_化工群_專業科目(二):普通化學、普通化學實習、分析化學、分析化學實習#118888
111年 · #118888
111年 - 111 四技二專統測_化工群:專業科目(二)普通化學、普通化學實習、分析化學、 分析化學實習#107820
111年 · #107820