阿摩線上測驗
登入
首頁
>
研究所、轉學考(插大)-高等微積分
> 97年 - 97 淡江大學 轉學考 高等微積分#55794
97年 - 97 淡江大學 轉學考 高等微積分#55794
科目:
研究所、轉學考(插大)-高等微積分 |
年份:
97年 |
選擇題數:
0 |
申論題數:
10
試卷資訊
所屬科目:
研究所、轉學考(插大)-高等微積分
選擇題 (0)
申論題 (10)
【已刪除】1. Show that t(x) =
is not uniformly continuous on (0,1). (10 points).
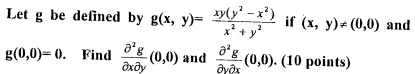
【已刪除】2.
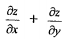
【已刪除】3. Iff: R is differentiable and i = f(x-y), show that
=0.(10 points)
4. Let K be a compact subset of R and let f be a real —vaiued function on K. Prove that if f is continuous on K, then f (K) is compact. (10 points)
(1). Show that g=f
-1
exists and is differentiable in some nonempty open set containing (2,5). (10 points)
(2). Find Dg(2,5)(the total derivative ofg at(2,5)). (10 points)
【已刪除】6. Let f be continuous on [a, b]. Show that
A in [a, b] if and only iff(x) = 0 for all x in[a,b]. (15 points)
【已刪除】7. Let t : [0, l]→[0,1] be continuous. Prove that there is c
[0,11 sucli that f(c)=c. (10 points)
【已刪除】8.
(5 points)
9. Let {f
n
} be a sequence of real-vaiued functions on [0,l] and f
n
converges uniformly to a function f. Prove that if each f
n
is continuous on [0,1], then f is continuous on [0,1]. (10 points)