所屬科目:熱力學
(一) 熱力學第一定律 ;
(二) 熱力學第二定律
(一) 加熱量 ;
(二) 熵 (Entropy) 的變化量 。
(一) 溫度?;
(二) 乾度 (x)?;
(三) 比焓?
(一) 空氣焓 (Enthalpy) 的變化量 ;
(二) 所需加入的功 。
(一) 冷氣機的冷房能力為若干 kw?
(二) 若排風機關閉時,房內的溫度會升高還是降低?(以計算之數值說明)
(三) 若要使排風機出口溫度不超過 37℃,求排風機之空氣質量流率應為若干?(空氣之比熱 = 1.0035kJ/kg-K,氣體常數 R = 0.287kJ/kg-K)
(四) 請計算進口處空氣之密度?(室外壓力為一大氣壓)
(五) 若進口處截面積 1m²,空氣之質量流率為 3kg/sec,請計算進口處空氣之平均速度?
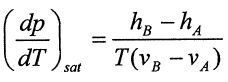
六、 (一) 試推導克拉佩龍方程式 (Clapeyron equation) 。
﹔其中A、B分別表示物質起始與終結之相。
(二) 試繪水的壓溫 (P-T) 圖,並說明其上各曲線之斜率為正或負的理由 。