阿摩線上測驗
登入
首頁
>
土壤力學與基礎工程(設計)
> 97年 - 97 身心障礙特種考試_三等_水利工程:土壤力學(包括基礎工程)#33531
97年 - 97 身心障礙特種考試_三等_水利工程:土壤力學(包括基礎工程)#33531
科目:
土壤力學與基礎工程(設計) |
年份:
97年 |
選擇題數:
0 |
申論題數:
5
試卷資訊
所屬科目:
土壤力學與基礎工程(設計)
選擇題 (0)
申論題 (5)
【已刪除】一、如圖所示,在一雙層土壤內開挖 6 m 高的土坡,其下層土壤(ABC 界限下方)為不 透水的黏土,在坡頂已發生一道深 2.5 m 的張力裂縫,使上層土壤分為二塊,下邊 坡一側的土塊重量 W1為 1000 kN。張力裂縫內積水已高達坡頂的地面,且已入滲到 雙層土壤之界面(AB)內,假設界面 AB 內孔隙水壓線性分布型態如圖所示。並已 知雙層土壤界面剪力強度參數如下:(總應力狀況)c = 1.14 kPa、φ = 12°;(有效 應力狀況)c' = 0.9 kPa、φ ' = 17°,試計算土坡沿界面 AB 抵抗滑動的安全係數。 (25 分)
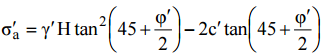
【已刪除】二、如圖所示,已知土層因開挖而導致側向主動土壓破壞,假設土體破壞時之應力條件 滿足莫爾庫倫破壞準則(Mohr-Coulomb failure criterion) τ
f
= σ'
n
tan φ'+ c ′ 。試證明 主動土壓力方程式
。(25 分)
⑴試求當安全係數 FS = 3 時,基礎之最小尺寸。註:N
c
= 17.7,N
q
= 7.4,N
r
= 5
⑵若基礎破壞模式為局部破壞(Local Shear Failure)時,土壤強度參數應如何折減?
【已刪除】四、由壓密試驗求得某黏土試樣之孔隙比(e)與有效壓密壓力(σ′)之關係圖如圖所示, 試由此圖說明求取預壓密壓力之方法,並說明過壓密比(OCR)之定義。(25 分)
相關試卷
114年 - 114 專技高考_結構工程技師:土壤力學與基礎設計#133715
114年 · #133715
114年 - 114 公務升官等考試_薦任_土木工程:土壤力學(包括基礎工程)#133166
114年 · #133166
114年 - 114 高等考試_二級_土木工程:土壤力學(包括基礎工程)#131599
114年 · #131599
113年 - 113 專技高考_結構工程技師:土壤力學與基礎設計#123953
113年 · #123953
113年 - 113 高等考試_二級_土木工程:土壤力學(包括基礎工程)#123055
113年 · #123055
112年 - 112 地方政府特種考試_三等_土木工程、水利工程:土壤力學與基礎工程#118194
112年 · #118194
112年 - 112 專技高考_結構工程技師:土壤力學與基礎設計#117656
112年 · #117656
112年 - 112 公務升官等考試_薦任_土木工程:土壤力學(包括基礎工程)#117180
112年 · #117180
112年 - 112 高等考試_二級_土木工程:土壤力學(包括基礎工程)#116744
112年 · #116744
112年 - 112 身心障礙特種考試_三等_水利工程:土壤力學(包括基礎工程)#113811
112年 · #113811