阿摩線上測驗
登入
首頁
>
計算機概論、大意(資訊科學概論,電腦常識,電子計算機概論)
> 97年 - 97 鐵路特種考試_員級_資訊處理:計算機概要#49123
97年 - 97 鐵路特種考試_員級_資訊處理:計算機概要#49123
科目:
計算機概論、大意(資訊科學概論,電腦常識,電子計算機概論) |
年份:
97年 |
選擇題數:
40 |
申論題數:
0
試卷資訊
所屬科目:
計算機概論、大意(資訊科學概論,電腦常識,電子計算機概論)
選擇題 (40)
1 對於關聯式資料庫而言,所謂資料完整性(Data Integrity)是用來確保資料庫中資料的正確性及可靠性,那 麼用來確保相關資料表間的資料一致,避免因一個資料表的記錄改變,而造成另一個資料表的內容變成無 效值的係屬於何種的完整性? (A) 實體完整性 (B) 使用者定義的完整性 (C) 區域完整性 (D) 參考完整性
2 下列四項 SQL 的基本語法中,何者對資料庫沒有寫入的動作? (A) UPDATE (B) INSERT (C) SELECT (D) DELETE
3 在一個關聯表中符合主鍵(Primary Key)條件的屬性子集可能有好幾個,這些屬性子集稱之為: (A) 替代鍵(Alternate Key) (B) 候選鍵(Candidate Key) (C) 外來鍵(Foreign Key) (D) 超鍵(Superkeys)
4 下列有關資料庫管理系統特性之敘述,何者有誤? (A) 資料重複性可透過良好的設計而降低 (B) 資料庫之內容在使用者新增或刪除某個欄位後一定會保有資料之一致性 (C) 資料安全性提高,在管理與維護上比較容易 (D) 使用者可以透過資料庫管理系統進行資料內容之修改與查詢
5 在區域網路標準的制定工作上,下列那一個標準是用以規範無線區域網路? (A) IEEE 802.3 (B) IEEE 802.5 (C) IEEE 802.9 (D) IEEE 802.11
6 在 TCP/IP 通訊協定的規範下,因考慮未來 IPv4 中 IP 位址即將用盡,因此又制定了 IPv6,則 IPv6 位址空間 使用多少位元? (A) 64 (B) 128 (C) 256 (D) 512
7 以下何者為網域名稱定址系統 DNS 的全名? (A) Dynamic Naming System (B) Domain Name System (C) Dynamic Navigating System (D) Domain Navigating System
8 下列網路上的各種發明的起源,請依先後順序排列:① 電腦網路起源於美國國防部的 ARPANet ② 圖形化 介面的瀏覽器由 Marc Andresssen 發明的 Mosaic ③ 資訊網(Web)起源於 Tim Berners-Lee 博士設計電腦間 資訊聯結有如蜘蛛網般相連的技術 ④ Token ring 由 IBM 發明,可以解決環狀網路上多台電腦競爭傳輸資 料的問題 (A) ① ④ ③ ② (B) ① ② ③ ④ (C) ② ③ ① ④ (D) ④ ③ ② ①
9 假設一路由器(router)的路徑表格(routing table)如下圖所示。路由器可以將收到的封包傳給直接相連的 網路或其它路由器。選擇路徑的原則是最長字首相同(longest prefix match)。如果路由器要將封包傳給位 址 140.252.13.45,該透過那一個介面(interface)?
(A) le0 (B) lo0 (C) emd0 (D) sl0
10 下列何者利用現有的電話線路,以上下傳不對稱的速度,來傳送高傳輸速率的訊息? (A) DSL (B) ISDN (C) ADSL (D) T1 專線
11 以 C 或 C++的語法來表達數學算式
,下列何者為正確的表達法? 2a (A) b(a-4c)/2a (B) b(a-4c)/(2a) (C) b*(a-4*c)/2*a (D) b*(a-4*c)/(2*a)
12 此程式片段的輸出為何?
(y); (A) 20 (B) 64 (C) 128 (D) 256
13 在進行軟體測試(Software Testing)時,有時候測試人員完全不理會程式內部的結構與行為,只專注尋找程 式未按規格運作的情況,因此測試資料純粹是根據規格所衍生出來的。請問這種測試方法是屬於: (A) 煙霧測試(Smoke Testing) (B) 黑箱測試(Black-Box Testing) (C) 迴歸測試(Regression Testing) (D) 白箱測試(White-Box Testing)
14 一個函式 Comp 定義如下:
當執行 Comp(4)時,其結果為何? (A) 5 (B) 12 (C) 21 (D) 41
15 程式執行時,其「局部變數」(local variables)是被安排在: (A) 程式區 (B) 唯讀記憶體 (C) 堆疊(Stack) (D) 堆積(Heap)
16 結構化程式設計之三種基本結構(Basic Structure)分別是循序及: (A) 選擇和副程式 (B) 副程式和重複 (C) 遞迴和重複 (D) 選擇和重複
17 下列有關樹(Tree)的敘述,何者錯誤? (A) 引線二元樹(Threaded Binary Tree)毋須追蹤整棵樹,就可以由任一節點找到前一個或後一個節點 (B) 包含二個以上節點的二元樹中,每一個葉節點(Leaf)均有父節點(Parent) (C) 二元樹(Binary Tree)的中序(Inorder)追蹤須使用堆疊,而引線二元樹的中序追蹤則毋須使用堆疊 (D) 二元樹不得為空樹,至少須有樹根,樹則可以是空樹(空集合)
18 雜湊表(Hash Table)效率之高低與雜湊函數(Hash Function)的設計息息相關,能將可能的鍵值平均到雜 湊表中之雜湊函數稱為: (A) 平均雜湊函數(Average Hash Function) (B) 完整雜湊函數(Complete Hash Function) (C) 均勻雜湊函數(Uniform Hash Function) (D) 完全雜湊函數(Full Hash Function)
19 資料結構的種類通常不包含下列何者? (A) 圖形(graph) (B) 佇列(queue) (C) 陣列(array) (D) 模組(module)
20 後序運算式(Postfix expression)“235*27-/+63*+”中的運算元(Operand)皆為個位數,而運算子(Operator)皆 為二元運算子,則其運算結果為何? (A) 11 (B) 16 (C) 17 (D) 22
21 利用氣泡排序法(Bubble sort)將數值由大到小排序時,下列那一堆原始數值在執行此排序法的過程中,其 實際之數值互換次數最高? (A) 10,15,7,13,11 (B) 20,18,9,25,16 (C) 10,12,15,20,23 (D) 25,20,17,16,5
22 下列何者為可以將一堆數字由小到大排好的穩定(Stable)排序法? (A) 快速排序(Quick Sort) (B) 合併排序(Merge Sort) (C) 堆積排序(Heap Sort) (D) 拓樸排序(Topological Sort)
23 下列何者不需使用堆疊(Stack)? (A) 有優先順序之工作排程 (B) 二元樹追蹤(Traversal) (C) 中斷處理 (D) 副程式呼叫
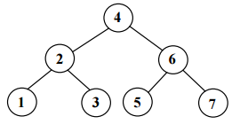
24 將 1234567 七個數目依某順序插入一個空的二元搜尋樹(Binary Search Tree)後,所得的二元搜尋樹如下圖 所示:
總共有幾種可能的插入順序? (A) 40 種 (B) 48 種 (C) 80 種 (D) 96 種
25 下列何者可以做為資料儲存元件? (A) 基本邏輯閘(logic gate) (B) 比較器(comparator) (C) 正反器(flip-flop) (D) 反向器(NOT gate)
26 若輸入訊號 x=101110,y=110100,輸出訊號 z=011010,則此結果是經由何種閘(Gate)的運作產生? (A) NAND (B) OR (C) NOR (D) XOR
27 所有布林表示式(Boolean expressions)可以使用下列那些邏輯閘來實作? (A) 全部只用 NAND (B) 全部只用 OR (C) 使用 OR 及 AND 的組合 (D) 全部用 NOT 的組合
28 邏輯式
是什麼定律? (A) 迪摩根定律 (B) 摩爾定律 (C) 交換律 (D) 分配律
29 下列何者是 CPU 執行指令時最後的動作? (A) 解碼 (B) 提取指令 (C) 提取運算元 (D) 執行並儲存結果
30 下列何種記憶體可以重複讀寫,且其內容不會在電源消失後,便永久消除? (A) 靜態 SRAM (B) 動態 DRAM (C) ROM (D) 快閃(flash)記憶體
31 下列關於作業系統內的使用者介面敘述,何者正確?① 使用命令直譯器(command interpreter)的使用者需 記憶及鍵入命令 ② 圖形使用者介面(graphical user interface)最早是在 Windows 95 中使用 ③ C shell 是 UNIX 系統的命令直譯器 ④ 使用圖形使用者介面的用戶可利用滑鼠移動點擊視窗選單介面即可完成各項 系統操作 (A) ① ② ③ (B) ② ③ ④ (C) ① ③ ④ (D) ① ② ④
32 用 8 位元長度之 2 的補數表示十進位數-6 時,其值為何? (A) 11111001 (B) 00000110 (C) 11111111 (D) 11111010
33 系統呼叫的處理流程可分四部分:① 使用者程式發生內部中斷而轉至作業系統核心 ② 作業系統決定所需 服務的代號 ③ 作業系統尋找並呼叫服務程序 ④ 歸還控制權給使用者程式。請問其處理流程順序為何? (A) ① →② → ③ → ④ (B) ① →③ → ② → ④ (C) ④ →② → ③ → ① (D) ④ →③ → ② → ①
34 將十六進位數值 277F16 化為八進位數值後,其值為何? (A) 23676 (B) 23677 (C) 23576 (D) 23577
35 如果要對 UNIX 檔案系統中的目錄進行搜尋的工作,則必須具備以下何種權限? (A) 讀(Read) (B) 寫(Write) (C) 執行(Execute) (D) 列印(Print)
36 假設虛擬記憶體(Virtual Memory)的設計,程式有 4 個實際分頁和 8 個虛擬分頁,一開始 4 個實際分頁是空 的,如果參考序列為 0 4 5 7 4 1 2 4 3 5,分頁管理方式是用最近最少參考(LRU),則會產生多少次「頁錯誤」 (Page Fault)? (A) 10 次 (B) 9次 (C) 8次 (D) 7次
37 以下那項不是網路防火牆系統之特性? (A) 控管不經過它的連線 (B) 執行安全政策 (C) 避免內部網路直接暴露在外 (D) 可主動偵測防止入侵
38 線上交易中所採用的 SSL3.0 為多少位元的加密技術? (A) 32 (B) 64 (C) 128 (D) 256
39 下列那項不是文書處理常做的動作? (A) 插入與刪除 (B) 搜尋與取代 (C) 搬移與複製 (D) 除錯與測試
40 電腦內部一組特別設計的硬體電路,它允許周邊裝置不需經過 CPU,而可以直接存取電腦內的主記憶體, 稱之為何? (A) VM (B) DMA (C) Multiplexer (D) Microprocessor
申論題 (0)
相關試卷
115年 - 115 身心障礙特種考試_四等_資訊處理:計算機概要#138974
115年 · #138974
115年 - 115 關務特種考試_四等_資訊處理(選試英文):計算機概要#138972
115年 · #138972
115年 - 115 身心障礙特種考試_四等_電子工程:計算機概要#138951
115年 · #138951
115年 - 115 身心障礙特種考試_五等_電腦打字:計算機大意#138949
115年 · #138949
115年 - 115 身心障礙特種考試_三等_電子工程:計算機概論#138849
115年 · #138849
114年 - 114 地方政府公務特種考試_四等_電子工程、電信工程:計算機概要#134700
114年 · #134700
114年 - 114 地方政府公務特種考試_四等_資訊處理:計算機概要#134674
114年 · #134674
114年 - 114 地方政府公務特種考試_三等_電力工程、電子工程、電信工程:計算機概論#134565
114年 · #134565
114年 - 114 專技高考_電子工程技師:電子計算機原理#133573
114年 · #133573
114年 - 114 交通事業港務升資考試_員級晉高員級_技術類—港務:電子計算機概論#133232
114年 · #133232