阿摩線上測驗
登入
首頁
>
有機化學
> 97年 - 97 關務特種考試_三等_化學工程:有機化學#42535
97年 - 97 關務特種考試_三等_化學工程:有機化學#42535
科目:
有機化學 |
年份:
97年 |
選擇題數:
0 |
申論題數:
37
試卷資訊
所屬科目:
有機化學
選擇題 (0)
申論題 (37)
⑴ 菲(phenanthrene)
⑵ 1,1-二 苯肼 (1,1-diphenylhydrazine)
⑶ 鄰 苯醌 (o-benzoquinone)
⑷ 聯苯(biphenyl)
⑸ 吲 哚 (indole)
【已刪除】 ⑴
【已刪除】 ⑵
【已刪除】 ⑶
【已刪除】 ⑷
【已刪除】 ⑸
【已刪除】 ⑹
【已刪除】 ⑺
【已刪除】 ⑻
【已刪除】 ⑼
【已刪除】 ⑽
(10 ⑴ CH
3
CH
2
CH
2
CH
2
NHCH
3
及 CH
3
CH
2
CH
2
CH
2
NH
2
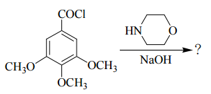
【已刪除】 ⑵
A
B
C
D
E
A
B
C
D
E
A
B
C
D
E
【已刪除】七、寫出下列反應式的反應機構。(10 分)
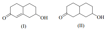
【已刪除】⑴ 化合物(I)在鹼性條件下較化合物(II)更容易進行脫水反應。
【已刪除】⑵ 產物(IV)為下列還原反應之主要產物。
九、請根據下面數據,推斷化合物 A 的結構;並請說明推導過程。(10 分) 化合物 A 的分子式為 C
5
H
8
O
2
;沸點 166-166.5℃;
1
H NMR(CDCl
3
):δ 2.52(t, 4H),4.05(t, 4H)
13
C NMR(CDCl
3
):三個吸收峰; IR:含羰基(carbonyl)
相關試卷
115年 - 115 關務特種考試_三等_化學工程(選試英文):有機化學#138982
115年 · #138982
115年 - 115 關務特種考試_四等_化學工程(選試英文):有機化學概要#138903
115年 · #138903
114年 - 114 公務升官等考試_薦任_化學工程:有機化學#133257
114年 · #133257
114年 - 114 調查特種考試_三等_化學鑑識組、醫學鑑識組:有機化學#129586
114年 · #129586
114年 - 114 一般警察特種考試_二等_刑事鑑識人員材料及化學物品鑑析組:有機化學#127790
114年 · #127790
114年 - 114 關務特種考試_三等_化學工程(選試英文):有機化學#126661
114年 · #126661
114年 - 114 關務特種考試_四等_化學工程(選試英文):有機化學概要#126655
114年 · #126655
113年 - 113 調查特種考試_三等_化學鑑識組、醫學鑑識組:有機化學#122084
113年 · #122084
113年 - 113 關務特種考試_三等_化學工程(選試英文):有機化學#119488
113年 · #119488
113年 - 113 關務特種考試_四等_化學工程(選試英文)、化學工程(選試日文):有機化學概要#119484
113年 · #119484