阿摩線上測驗
登入
首頁
>
公職 - 藥理學與藥物化學
> 98年 - 98 公務升官等考試_簡任_藥事:藥理學與藥物化學研究#47852
98年 - 98 公務升官等考試_簡任_藥事:藥理學與藥物化學研究#47852
科目:
公職 - 藥理學與藥物化學 |
年份:
98年 |
選擇題數:
0 |
申論題數:
18
試卷資訊
所屬科目:
公職 - 藥理學與藥物化學
選擇題 (0)
申論題 (18)
⑴ Drug efficacy
⑵ Drug potency
⑶ Bioavailability
⑷ Pharmacokinetics
⑸ Pharmacodynamics
二、由於國人飲食習慣及生活型態改變,“三高"族群的出現反映出國人心血管及循環 功能的警訊。請舉出四種抗高血壓之機轉,並各舉出兩種代表藥物。(25 分)
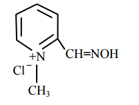
三、下列化學結構式之雜環屬於什麼結構?其作用機轉及臨床用途為何?(10 分)
四、作用標靶專一性和選擇性的意義為何?請舉例說明其重要性。(10 分)
五、Omeprazole 之化學結構式如下,以其為例,用化學反應式說明其抑制質子幫浦 (Proton pump)之過程。(10 分)
⑴腺嘌呤(Adenine)
⑵胞嘧啶(Cytosine)
⑶鳥嘌呤(Guanine)
⑷胸嘧啶(Thymine)
⑴ Edrophonium
⑵ Neostigmine
⑶ Physostigmine
⑷ Pyridostigmine
八、在藥物合成過程中,選擇一種溶劑做量產時需特別考慮那些因素?以苯(Benzene) 作範例說明之。(10 分)
相關試卷
106年 - 106 關務特種考試_三等_藥事:藥理學與藥物化學#61456
106年 · #61456
105年 - 105 高等考試_三級_藥事:藥理學與藥物化學#54256
105年 · #54256
105年 - 105 關務特種考試_三等_藥事:藥理學與藥物化學#50114
105年 · #50114
104年 - 104 高等考試_三級_藥事:藥理學與藥物化學#42688
104年 · #42688
104年 - 104 公務升官等考試_簡任_藥事:藥理學與藥物化學研究#41961
104年 · #41961
104年 - 104 公務升官等考試_薦任_藥事:藥理學與藥物化學#41117
104年 · #41117
104年 - 104 關務特種考試_三等_藥事:藥理學與藥物化學#22674
104年 · #22674
103年 - 103 關務特種考試_三等_藥事:藥理學與藥物化學(重複)#44001
103年 · #44001
103年 - 103 高等考試_三級_藥事:藥理學與藥物化學#43442
103年 · #43442
103年 - 103 關務特種考試_三等_藥事:藥理學與藥物化學#15776
103年 · #15776