阿摩線上測驗
登入
首頁
>
有機化學
> 98年 - 98 原住民族特種考試_三等_化學鑑識組、醫學鑑識組:有機化學#42237
98年 - 98 原住民族特種考試_三等_化學鑑識組、醫學鑑識組:有機化學#42237
科目:
有機化學 |
年份:
98年 |
選擇題數:
0 |
申論題數:
28
試卷資訊
所屬科目:
有機化學
選擇題 (0)
申論題 (28)
⑴ (CF
3
)
2
CHOH
⑵ H
3
C≡C-H
⑶ (CH
3
)
3
C-OH
⑷ CH
3
CH
2
OH
⑴彼此之立體關係為何(如 meso, diastereomers, or…)?
⑵請以 R 或 S 標示其中不對稱碳之組態。(4 分) H H (A) (B) CH3CH2 CH3 C CH3 Cl CH3CH2 Cl
【已刪除】三、將下列環烯類化合物依相對安定性自小到大排列,並說明原因。(4 分)
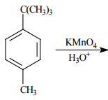
⑴自小到大列出此四種化合物之相對反應性並說明原因。
⑵以結構式表示與溴苯反應所得之主要產物。
⑴ ethylene;
⑵ diethyl ether 之反應機轉。(10 分) (以結構式說明反應,注意離去基、電荷、電子對、攻擊方向等均應標明)
⑴則此三種產物之相對產率(A:B:C)為何?
⑵標示出產物 A、B、C 之不對稱碳的位置。
⑶畫出 A 產物之反應中間物(intermediate)結構式,並說明其性質、以解釋 A 產 物比率。
⑴π電子數;
⑵有無芳香性,並解釋之。(8 分)
⑴寫出 C 及 D 兩種產物的結構式: + HBr C + D A B
⑵何者為動力學控制產物(kinetically controlled product)?
⑶在高溫(40℃)時何種產物佔優勢並說明原因。
⑷寫出兩種中間產物(intermediate)的共振結構式,並解釋其安定性。
【已刪除】⑴
【已刪除】 ⑵
【已刪除】 ⑴
【已刪除】 ⑵
【已刪除】 ⑶
【已刪除】 ⑷
【已刪除】 ⑸
【已刪除】 ⑹
相關試卷
115年 - 115 關務特種考試_三等_化學工程(選試英文):有機化學#138982
115年 · #138982
115年 - 115 關務特種考試_四等_化學工程(選試英文):有機化學概要#138903
115年 · #138903
114年 - 114 公務升官等考試_薦任_化學工程:有機化學#133257
114年 · #133257
114年 - 114 調查特種考試_三等_化學鑑識組、醫學鑑識組:有機化學#129586
114年 · #129586
114年 - 114 一般警察特種考試_二等_刑事鑑識人員材料及化學物品鑑析組:有機化學#127790
114年 · #127790
114年 - 114 關務特種考試_三等_化學工程(選試英文):有機化學#126661
114年 · #126661
114年 - 114 關務特種考試_四等_化學工程(選試英文):有機化學概要#126655
114年 · #126655
113年 - 113 調查特種考試_三等_化學鑑識組、醫學鑑識組:有機化學#122084
113年 · #122084
113年 - 113 關務特種考試_三等_化學工程(選試英文):有機化學#119488
113年 · #119488
113年 - 113 關務特種考試_四等_化學工程(選試英文)、化學工程(選試日文):有機化學概要#119484
113年 · #119484