阿摩線上測驗
登入
首頁
>
有機化學
> 98年 - 98 地方政府特種考試_三等_化學工程:有機化學#41823
98年 - 98 地方政府特種考試_三等_化學工程:有機化學#41823
科目:
有機化學 |
年份:
98年 |
選擇題數:
0 |
申論題數:
24
試卷資訊
所屬科目:
有機化學
選擇題 (0)
申論題 (24)
⑴ 2-溴雙環[2.2.1]庚烷(2-bromobicyclo[2.2.1]heptane)
⑵ 2-甲基吡啶(2-methylpyridine)
⑶丁炔二酸(butynedioic acid)
⑷苯乙腈(benzyl cyanide)
⑸ 2-異丙基四氫呋喃(2-isopropyltetrahydrofuran)
【已刪除】⑴
【已刪除】 ⑵
【已刪除】 ⑶
【已刪除】 ⑷
【已刪除】 ⑸
【已刪除】 ⑹
【已刪除】⑺
【已刪除】⑻
【已刪除】⑼
【已刪除】 ⑽
⑴丙烷→ 丙烯
⑵ 1-氯丁烷 →1,2-二氯丁烷
⑴ H
2
C=CH
2
→HC≡CH
【已刪除】⑵
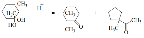
【已刪除】五、提出以下反應之反應機構。(10 分)
【已刪除】六、請寫出產物 A 至 E 之結構。(10 分)
【已刪除】七、化合物A之分子式為C
12
H
14
O
5
,試根據
1
H NMR及IR光譜推斷其結構,並 說明推導過程。
1
H NMR圖中信號上之數字為積分值。(10 分)
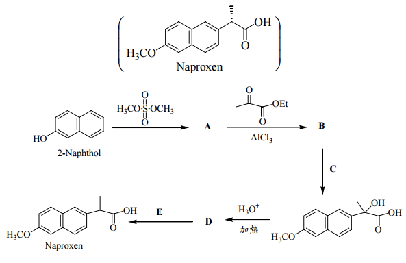
【已刪除】八、下列化合物商品名為 Naproxen(在台之商品名為 Napsin),是目前世界上 使用量最大的消炎止痛劑(Anti-inflammation)之一;請以 2-萘酚 (2-Naphthol)為起始原料設計 Naproxen 之合成,並詳述所需試劑
C
,
E
及中間物
A
,
B
,
D
。[請不必考慮光學異構物之問題](10 分)
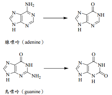
【已刪除】九、腺嘌呤(adenine)與鳥嘌呤(guanine)皆可以水解進行去氨反應 (deamination),請分別寫出水解去氨化的反應機構。(10 分)
相關試卷
115年 - 115 關務特種考試_三等_化學工程(選試英文):有機化學#138982
115年 · #138982
115年 - 115 關務特種考試_四等_化學工程(選試英文):有機化學概要#138903
115年 · #138903
114年 - 114 公務升官等考試_薦任_化學工程:有機化學#133257
114年 · #133257
114年 - 114 調查特種考試_三等_化學鑑識組、醫學鑑識組:有機化學#129586
114年 · #129586
114年 - 114 一般警察特種考試_二等_刑事鑑識人員材料及化學物品鑑析組:有機化學#127790
114年 · #127790
114年 - 114 關務特種考試_三等_化學工程(選試英文):有機化學#126661
114年 · #126661
114年 - 114 關務特種考試_四等_化學工程(選試英文):有機化學概要#126655
114年 · #126655
113年 - 113 調查特種考試_三等_化學鑑識組、醫學鑑識組:有機化學#122084
113年 · #122084
113年 - 113 關務特種考試_三等_化學工程(選試英文):有機化學#119488
113年 · #119488
113年 - 113 關務特種考試_四等_化學工程(選試英文)、化學工程(選試日文):有機化學概要#119484
113年 · #119484