阿摩線上測驗
登入
首頁
>
有機化學
> 98年 - 98 地方政府特種考試_四等_化學工程:有機化學概要#41862
98年 - 98 地方政府特種考試_四等_化學工程:有機化學概要#41862
科目:
有機化學 |
年份:
98年 |
選擇題數:
25 |
申論題數:
14
試卷資訊
所屬科目:
有機化學
選擇題 (25)
1 下列有關葡萄糖的性質敘述,何者正確? (A)葡萄糖是一種雙醣類 (B)葡萄糖含有酮基及羥基官能基 (C)葡萄糖可由麥芽糖在稀酸水溶液水解而得 (D)葡萄糖結構式為內消旋體,不具光學活性
2 將醛式的赤藻糖(erythrose, C
4
H
8
O
4
)還原,則產生: (A)一環狀的多元醇 (B)無光學活性物 (C)一對對映體 (D)三種物質的混合物
3 二苯乙炔的結構式為:
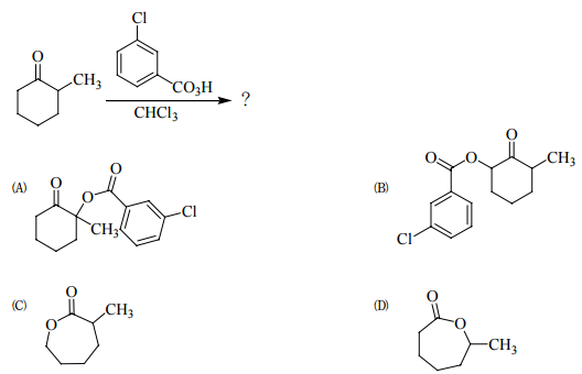
4 下列反應之主產物為:
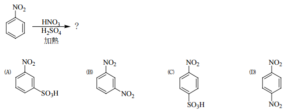
5 2, 4-二硝基氯苯(2, 4-dinitrochlorobenzene)進行取代反應,下列化合物中何者與其反應最快?
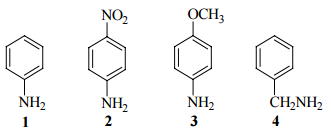
6 依鹼性的降低(由強到弱),列序下列化合物:
(A) 1>2>3>4 (B) 4>2>1>3 (C) 3>4>2>1 (D) 4>3>1>2
7 下列何者的紅外光譜在 2250 cm-1處會有吸收?
(A)CH
3
CH
2
CH
2
CO
2
H
(B)CH
3
CH
2
CH
2
C≣N
(C)CH
3
CH
2
CH
2
CH
2
OH
(D)
8 醯胺(amide)類之水解反應均需在較劇烈的條件下進行,下列化合物中何者在鹼性條件下之水解速 率最快?
9 下列各化合物中何者具有旋光性?
10 下列何種試劑可用以區分CH
3
CH
2
CH
2
NH
2
及CH
2
=CHCH
2
NH
2
? (A)C
6
H
5
SO
2
Cl (B)HONO (C)NaOH/H
2
O (D)Br
2
/CCl
4
11 甲、乙、丙、丁為 2,3-二氨基丁烷異構物的費雪投影(Fischer projection),下列有關敘述,何者錯 誤?
(A)乙、丙為鏡像異構物(enantiomers) (B)甲具光學活性 (C)丙、丁為非鏡像異構物(diastereomers) (D)甲、丁為相同化合物
12 下列官能基中何者在紅外光譜中 C=O 之伸張振動頻率最高?
13 下列何者為
反應之產物?
14 下列所示反應的主要產物為:
15 下列醇類何者為三級醇?
16 下列試劑中何者可與醚類作用? (A)KMnO
4
(B)NaOH (C)LiA1H
4
(D)HBr
17 C4H10O有幾個醇類的同分異構物? (A)1 (B)2 (C)3 (D)4
18 下列各反應何者可形成丙酮?
19 下列那一化合物與H
2
O/HgSO
4
/H
2
SO
4
反應時會產生丁酮?
20 下列反應之主產物為何?
21 下列反應何者經由碳陽離子?
22 下列那一個化合物可進行順反異構化? (A) 1-丁烯 (B) 2-甲基丙烯 (C) 1-氯-1-戊烯 (D)
23 下列碳陽離子中,何者最穩定?
24 下列有機化合物的化學鍵何者的伸張振動頻率最高? (A) C=N (B) C-O (C) C≣C (D) C-H
25 在下列的反應過程,那一個是主要產物?
申論題 (14)
【已刪除】 ⑴
【已刪除】 ⑵
【已刪除】 ⑶
【已刪除】 ⑷
【已刪除】 ⑸
【已刪除】 ⑹
【已刪除】 ⑺
【已刪除】 ⑻
【已刪除】 ⑼
【已刪除】 ⑽
【已刪除】 ⑴
【已刪除】 ⑵
【已刪除】三、試寫出下列反應主要產物和試劑 A 至 E 的結構。(10 分)
【已刪除】四、化合物A之分子式為C
10
H
12
O,請根據氫核磁共振光譜及碳核磁共振光譜(
1
H-NMR及
13
C-NMR)推斷分子結構,並說明推導過程。(10 分)
相關試卷
115年 - 115 關務特種考試_三等_化學工程(選試英文):有機化學#138982
115年 · #138982
115年 - 115 關務特種考試_四等_化學工程(選試英文):有機化學概要#138903
115年 · #138903
114年 - 114 公務升官等考試_薦任_化學工程:有機化學#133257
114年 · #133257
114年 - 114 調查特種考試_三等_化學鑑識組、醫學鑑識組:有機化學#129586
114年 · #129586
114年 - 114 一般警察特種考試_二等_刑事鑑識人員材料及化學物品鑑析組:有機化學#127790
114年 · #127790
114年 - 114 關務特種考試_三等_化學工程(選試英文):有機化學#126661
114年 · #126661
114年 - 114 關務特種考試_四等_化學工程(選試英文):有機化學概要#126655
114年 · #126655
113年 - 113 調查特種考試_三等_化學鑑識組、醫學鑑識組:有機化學#122084
113年 · #122084
113年 - 113 關務特種考試_三等_化學工程(選試英文):有機化學#119488
113年 · #119488
113年 - 113 關務特種考試_四等_化學工程(選試英文)、化學工程(選試日文):有機化學概要#119484
113年 · #119484