阿摩線上測驗
登入
首頁
>
資料結構
> 98年 - 98 專技高考_資訊技師:資料結構(包括資料庫)#47476
98年 - 98 專技高考_資訊技師:資料結構(包括資料庫)#47476
科目:
資料結構 |
年份:
98年 |
選擇題數:
0 |
申論題數:
6
試卷資訊
所屬科目:
資料結構
選擇題 (0)
申論題 (6)
一、假設有 n 筆資料,我們可以利用二分搜尋法(binary search method)或在二元搜尋 樹(binary search tree)上搜尋特定的一筆資料。試分別說明這兩種方法如何安排資 料與如何從這 n 筆資料中搜尋特定的一筆資料,並說明這兩種方法最糟情況(worst case)的時間複雜度。(20 分)
二、以遞迴(recursive)的方式寫出二元樹(binary tree)的中序追蹤(inorder traversal) 與後序追蹤(postorder traversal)演算法。(20 分)
三、將 11 筆資料(126,205,319,154,301,61,212,15,248,77,29)以基數排 序法(radix sort)由小到大排列,則第一階段(pass one)結果為何?(10 分)
四、以 6,3,1,5,4,2,7,9,8 的順序將資料插入空的二元搜尋樹(binary search tree),試繪出作業完成後之二元搜尋樹。(15 分)
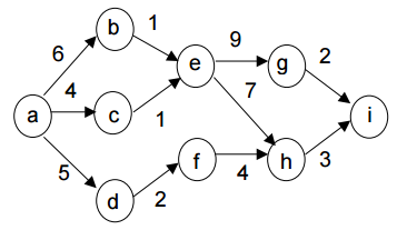
五、有一 AOE(Activity On Edge)網路如下圖所示,其中有向邊(directed edge)代表工 作或活動且邊上的數值代表工作或活動所需時間。試算出每個邊的最早(earliest) 開始時間、最晚(latest)開始時間、與鬆散(slack)時間,並寫出其臨界路徑 (critical path)。(20 分)
六、試說明資料庫、資料倉儲(Data Warehouse)與資料探勘(Data Mining)三者間之 差異。(15 分)
相關試卷
99年 - 99 高等考試_三級_資訊處理:資料結構#47000
99年 · #47000
99年 - 99 專技高考_資訊技師:資料結構(包括資料庫)#46446
99年 · #46446
96年 - 96 專技高考_資訊技師:資料結構(包括資料庫)#50597
96年 · #50597
96年 - 96 專利商標審查特種考試_三等_資訊工程:資料結構(包括資料庫)#49839
96年 · #49839