阿摩線上測驗
登入
首頁
>
有機化學
> 98年 - 98 普通考試_化學工程:有機化學概要#42537
98年 - 98 普通考試_化學工程:有機化學概要#42537
科目:
有機化學 |
年份:
98年 |
選擇題數:
25 |
申論題數:
14
試卷資訊
所屬科目:
有機化學
選擇題 (25)
1 維他命 C 的結構式為: (A)
(B)
(C)
(D)
2 以下胺基丙酸(alanine)的各立體結構中,何者為 S-alanine? (A)
(B)
(C)
(D)
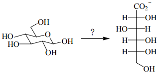
α-D-葡萄糖中的羥基有幾個在赤道向(equatorial)的位置? (A)0 (B)1 (C)2 (D)3
4 纖維素的結構中,相鄰 兩個葡萄糖間的醣苷鍵是以下列何者相連接? (A) C-1(α)-C-4' (B) C-1(β)-C-4' (C) C-1(α)-C-6' (D) C-1(β)-C-6'
5 下列化合物中,何者最容易進行[4+2]環加成反應? (A)
(B)
(C)
(D)
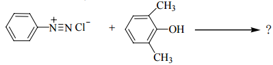
下列反應的主產物為:
(A)
(B)
(C)
(D)
7 下列各化合物中何者酸性最強? (A)
(B)
(C)
(D)
8 下列化合物何者具有芳香族穩定性? (A)
(B)
(C)
(D)
9 下列化合物中,何者的氫核磁共振光譜(
1
H NMR)在δ11.2 ppm有譜線,其構造最可能為: (A)CH
3
CH
2
CH
2
CO
2
H (B)CH
3
CH
2
CH
2
CHO (C)CH
3
CH
2
CH
2
CH
2
OH (D)CH
3
CH
2
CH
2
CH
2
NH
2
10 下列有關柳酸及乙酐製備阿司匹靈的敘述何者正確? (A)需要強鹼催化以進行酯化反應 (B)阿司匹靈易溶於稀鹽酸中 (C)柳酸是一種酚類化合物 (D)可利用乙醯胺來代替乙酐進行酯化反應
11 下列各項條件,何者可完成右列反應? (A)(1)SOCl
2
,(2)NH
3
,(3)Br
2
/NaOH ? (B)(1)PCl
5
,(2)CH
3
NH
2
,(3)KMnO
4
/HO
-
,加熱 (C)(1)CH
3
Li,(2)NH
3
,(3)H
2
/Ni (D)(1)PCl
5
,(2)CH
3
NH
2
,(3)KMnO
4
,加熱
12 下列何者不是還原反應? (A)
(B)
(C)
(D)
13 下列聚合反應中,何者進行縮合聚合反應? (A)
(B)
(C)
(D)CH
2
=CHCN+CaO
14 下列各醚類化合物中,何者最容易與金屬離子Li
+
形成錯化合物? O (A)CH
3
CH
2
OCH
2
CH
3
(B)
(C)
(D)CH
3
CH
2
OCH
2
CH
2
OCH
2
CH
3
15 欲獲得某化合物的分子量,下列那項光譜儀最佳? (A) NMR(核磁共振儀) (B) MS(質譜儀) (C) IR(紅外光譜儀) (D) UV(紫外光譜儀)
16 下列化合物何者與NaBH
4
反應後的產物為一級醇? (A)苯甲酸 (B)乙醯氯 (C)丙酸甲酯 (D)甲乙醚
17 選出進行右列反應所需之最適當試劑。 (A)B
2
H
6
(B)H
2
O
2
(C)NaBH
4
(D)CH
3
COOH
18 試比較1H NMR核磁共振光譜中,各乙烯氫原子間之偶合常數(J, coupling constant)的大小: (A)J
12
>J
13
>J
23
(B)J
12
>J
23
>J
13
(C)J
23
>J
12
>J
13
(D)J
23
>J
13
>J
12
19 下列反應之主產物為何?
(A)
(B)
(C)
(D)
20 下列化合物中何者莫耳燃燒熱最大? (A)
(B)
(C)
(D)
21 下列化合物,何者具有共軛的雙鍵? (A)
(B)
(C)
(D)
22 下列化合物何者的沸點最高? (A)甲酸 (B)己烷 (C)乙醚 (D)丙酮
23
(A)鏡像異構物(enantiomers) (B)非鏡像異構物(diastereomers) (C)相同 (D)結構異構物
24 下列諸化合物中,何者的命名是錯誤的? (A) 2-乙基丁烷 (B) 3, 3-二甲基-1-丁烯 (C) 3-甲基戊烷 (D) 1-甲基-1-環戊烯
25 下列反應式中,當X
2
由Cl
2
換成Br
2
時,何者的敘述正確?
A(1)的產量比例會增高 (B)(2)的產量比例會增高 (C)(1),(2)的產量比例不變 (D)變化不定
申論題 (14)
【已刪除】 ⑴
【已刪除】 ⑵
【已刪除】 ⑶
【已刪除】 ⑷
【已刪除】 ⑸
【已刪除】 ⑹
【已刪除】 ⑺
【已刪除】 ⑻
【已刪除】 ⑼
【已刪除】 ⑽
【已刪除】 ⑴
【已刪除】 ⑵
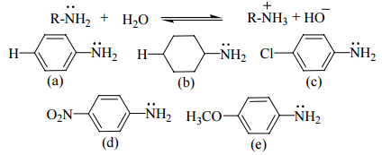
【已刪除】三、推測下列一級胺的鹼性強度,依據其強度遞減排序,並說明理由。(10 分)
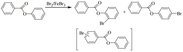
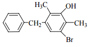
【已刪除】四、下示的化合物進行芳香族取代反應,僅發生在其中一個苯環上而產生所示的溴化 物;反應不產生括弧內所示的溴化物,試解釋之。(10 分)
相關試卷
115年 - 115 關務特種考試_三等_化學工程(選試英文):有機化學#138982
115年 · #138982
115年 - 115 關務特種考試_四等_化學工程(選試英文):有機化學概要#138903
115年 · #138903
114年 - 114 公務升官等考試_薦任_化學工程:有機化學#133257
114年 · #133257
114年 - 114 調查特種考試_三等_化學鑑識組、醫學鑑識組:有機化學#129586
114年 · #129586
114年 - 114 一般警察特種考試_二等_刑事鑑識人員材料及化學物品鑑析組:有機化學#127790
114年 · #127790
114年 - 114 關務特種考試_三等_化學工程(選試英文):有機化學#126661
114年 · #126661
114年 - 114 關務特種考試_四等_化學工程(選試英文):有機化學概要#126655
114年 · #126655
113年 - 113 調查特種考試_三等_化學鑑識組、醫學鑑識組:有機化學#122084
113年 · #122084
113年 - 113 關務特種考試_三等_化學工程(選試英文):有機化學#119488
113年 · #119488
113年 - 113 關務特種考試_四等_化學工程(選試英文)、化學工程(選試日文):有機化學概要#119484
113年 · #119484