阿摩線上測驗
登入
首頁
>
研究所、轉學考(插大)-應用數學
> 98年 - 98 淡江大學 轉學考 應用數學#55890
98年 - 98 淡江大學 轉學考 應用數學#55890
科目:
研究所、轉學考(插大)-應用數學 |
年份:
98年 |
選擇題數:
0 |
申論題數:
8
試卷資訊
所屬科目:
研究所、轉學考(插大)-應用數學
選擇題 (0)
申論題 (8)
【已刪除】 (a)
and
【已刪除】 (b)
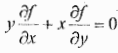
【已刪除】2. The funclion (f,y) satisfies the following difTcrential equation
. By changing to new variables u = .x
2
- y
2
and v = 2xy, show dx dy . that/is a rvmction of x
2
- y
2
only. (15 points)
【已刪除】(a) Prove that
【已刪除】 (b) Evaluate
.
【已刪除】4. Evaluate
around the ellipse
(20 points)
【已刪除】5. Find Ihc Fourier series of the function f(x)=x in the range
and evaluate live innnile series
(15 poiuts)
【已刪除】6. Find the soliMion of the following differential equation
(15 points)
相關試卷
110年 - 110 國立中央大學_碩士班招生考試_天文研究所:應用數學#110498
110年 · #110498
110年 - 110台灣聯合大學系統_碩士班招生考試_物理類:應用數學#104952
110年 · #104952
110年 - 110 國立中央大學_碩士班招生考試_大氣科學學系大氣物理:應用數學#103883
110年 · #103883
110年 - 110 國立中央大學_碩士班招生考試_太空科學與工程學系:應用數學#103880
110年 · #103880
110年 - 110 國立臺灣大學_碩士班招生考試_海洋所物理與化學與地物組(3組聯招):應用數學(B)#100219
110年 · #100219
103年 - 103 淡江大學 轉學考 應用數學#55466
103年 · #55466
102年 - 102 淡江大學 轉學考 應用數學#53110
102年 · #53110
101年 - 101 淡江大學 轉學考 應用數學#55467
101年 · #55467
100年 - 100 淡江大學 轉學考 應用數學#55469
100年 · #55469
99年 - 99 淡江大學 轉學考 應用數學#55470
99年 · #55470