阿摩線上測驗
登入
首頁
>
國營事業◆1.通訊系統 2.電磁學
> 98年 - 98 經濟部所屬事業機構_新進職員甄試_通信:1.通訊系統 2.電磁學#37810
98年 - 98 經濟部所屬事業機構_新進職員甄試_通信:1.通訊系統 2.電磁學#37810
科目:
國營事業◆1.通訊系統 2.電磁學 |
年份:
98年 |
選擇題數:
0 |
申論題數:
19
試卷資訊
所屬科目:
國營事業◆1.通訊系統 2.電磁學
選擇題 (0)
申論題 (19)
1請說明Parsevafs theorem (巴賽瓦定理)(5分)
2,依上述定理,試求此系統輸出之平均功率。(5分)
1. f(t) = (4分)e
-│t│
【已刪除】2 f(t) =
(6 分)
1 一組總長度為10秒之聲音訊號,以8 kHz速率取樣,並以PCM方式進行128位準量化 及二進位編碼,試求要容納此數位化信號所需之最小儲存容量。(3分)
2 奮描述取樣程序產生之複合重疊現象(aliasing )及其消除方法(4分)
【已刪除】3.
,若 x(t)可由離散時間序列 x[n] = x(nTs) 唯一的表示,試求取樣間距Ts應滿足之條件。(3分)
1試計算濾波器之輸出信號(5分)
2a承上題,若輸出信號為最大輸出信號之一半時,求相角θ。(3分)
3.求低通濾波器截止頻率F之範圍(2分)
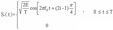
【已刪除】1同調QPSK系統,被傳信號
其中 、 , 其它 1=1,2, 3,4 ; E是每符元(symbol)傳送的信號能量,T為符元期間,對某固定整數n
c
,載 波頻率f
c
等於n
c
/4。載波相位從小到大依序對應被傳數字位元信號(10、00、01、 11)(格雷編碼,訊息點m
1
、m
2
、m
3
、m
4
),試定義及建立此QPSK系統之信號-空間圖 (Signal-Space Diagram ) o (10 分)
2 試推導及計算M-陣列相位鍵移(M-ary PSK )信號之頻寬效率ρ( M=64 ) (3分)
3•相同E
b
/N
o
。值之情形下(每位元信號能量為E
b
,雜訊功率頻譜密度為N
o
/2),比較下列系 統之位元錯誤率: a. DPSK k同調MSK a非同調二元FSK d同調二元PSK a同調QPSK (3分)
1有一無限長線電荷,其線上電荷密度為L
q
(每單位長度所含電荷),試求距離此線電荷r 處之電場(介電係數為ε)。(5分)
【已刪除】2.如(圖3),若上述線電荷為垂直紙面,且附近有一與線電荷平行之接地理想導體平面,平 面上A點距離線電荷為d,試求Q點之電位(Q距離線電荷為Rl,Q距離線電荷之源像 為R2,並以A點為參考點)。(S分)
【已刪除】七、試求(圖4)中M點(半圓圓心,半徑a為5公分)之磁通密度
,電流I為2安培,直導 線部份假設為無限長(μ
o
=4 π x 10
-7
H/m )。(7分)
【已刪除】八、(圖5)為長L之同轴圓柱電容器,其内導體半徑為 a、外導體半徑為b,
僅存在於内外導體間 (a < r < b )且方向由内向外,試求此電容器之電 容(忽略邊際,介電係數為ε。(7分)
九、請列出馬克斯威爾方程式及連續方程式,並說明其物理意義。(15分
十、請列出Poynting’s theorem (坡印亭定理)之積分型式或微分型式,並說明其物理意義 (5分)
相關試卷
104年 - 104 經濟部所屬事業機構_新進職員甄試_通信:1.通訊系統 2.電磁學#60410
104年 · #60410
102年 - 102 經濟部所屬事業機構_新進職員甄試_通信:1.通訊系統 2.電磁學#28373
102年 · #28373
101年 - 101 經濟部所屬事業機構_新進職員甄試_通信:1.通訊系統 2.電磁學#28584
101年 · #28584