阿摩線上測驗
登入
首頁
>
國營事業◆1.普通化學 2.無機化學
> 98年 - 98 經濟部所屬事業機構_新進職員甄試_化學:1.普通化學 2.無機化學#11850
98年 - 98 經濟部所屬事業機構_新進職員甄試_化學:1.普通化學 2.無機化學#11850
科目:
國營事業◆1.普通化學 2.無機化學 |
年份:
98年 |
選擇題數:
60 |
申論題數:
0
試卷資訊
所屬科目:
國營事業◆1.普通化學 2.無機化學
選擇題 (60)
1 •今年(2009年)諾貝爾化學獎得主’是由三位對核糖體(ribosome)構造與功能研究做出巨大貝 獻的學者共享殊榮,下列有關「核糖體」的敘述,何者是有誤的: (A)核糖體含有60%的蛋白質與40%的核糖核酸(RNA)。 (B)核糖體的功能是製造細胞所需的蛋白質。 (C)科學家可透過核糖體運作機制的研究,找出可以治療疾病的抗生素。 (D)人體和細菌的核糖體並不相同。
2。下列現象共有幾項沒有化學反應的進行? ①鐵的生銹②霧的生成③太陽能熱水器的作用④螢火蟲的發光⑤冰箱中冷媒的作用 ⑥植物的呼吸作用 ⑦霓虹燈的燈光 (A)3 項 (B)4 項 (C)5 項 (D)6 項
3。下列哪一組是屬於同素異形體的關係? (A)石墨與鑽石 (B)水與重水 (C)一氧化碳與二氧化碳 (D)鈾238與鈾235
4.下列分子的路易斯(Lewis)結構何者正確?
5。下列何種方法無法將暫時硬水之Ca、Mg離子去除? (A)加入Na
2
CO
3
(B)加熱至沸騰 (C)加入HC1 (D)加入C
17
H
35
COONa
6.下列塩中,何者不溶於或微溶於水? (A) Na
2
SO
4
(B) MgCl
2
(C) BaSO
4
(D) Ba(NO
3
)
2
7。下列何種元素具有奇數個中子和奇數個質子?
8下列諸離子,何者與氬(Ar)原子有相同電子數? (A) Na+ (B) S2— (C) Mg2+ (D) Br—
9下列化合物或離子的幾何形狀,何者非正四面體? (A) SF
4
(B) CCl
4
(C) BF
4
-
(D) Zn(NH3)
4
2+
10. 重量比為2 : 7之CH
4
與C
2
H
4
兩氣體混合物之分壓比為? (A) 1:2 (B) 1:3 (C) 2:3 (D) 2:5
11依據價鍵理論,在[Ni(CN)
4
]
2一
錯化合物中,其中心金屬混成執域為: (A) sp
3
(B) d
2
sp (C) dsp
2
(D) d
2
sp
3
12湖泊、水庫優養化之主要原因為下列何種物質之排入所造成? (A) NO
3
-
(B) SO
4
2-
(C) N,P (D) H
2
S
13.下列何者不是溫室效應氣體? (A) CH
4
(B) SO
2
(C) CO
2
(D) CFC
S
14.C
2
H
6
O之可能結構異構物為: (A)乙醇與乙醚 (B)甲醇與乙醚 (C)乙酸與乙醚 (D)曱醚與乙醇
15。下列各化合物,何者含有與BF
3
相同的混合鍵結? (A)苯 (B)乙炔 (C)四氯化碳 (D) 二氟化鈹
16•下列化合物不含参鍵與環狀構造,則1分子中具有最多雙鍵者為: (A) C
7
H
14
(B) C
12
H
18
(C) C
17
H
34
(D) C
20
H
24
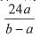
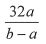
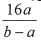
17.用乙二醇與對苯二甲酸為原料可合成出:. (A)聚丙烯 (B)聚酯纖維 (C)聚醯胺纖維 (D)奥綸纖維
18.有a克的鎂片在氧中完全燃燒生成b克的氧化鎂,則鎂的原子量為:(A)
(B)
(C)
(D)
19,某有機化合物6.51克完全燃燒以後,得到20.47克的CO
2
及8.36克的水,此有機化合物最可 能是下列何物質? (A) C
6
H
14
(B) C
5
H
10
(C) C
6
H
12
O
6
(D) C
4
H
10
O
4
20.下列哪一個離子的半徑最大? (A) C
a2+
(B) Mn
2+
(C) Ni
2+
(D) Zn
2+
21.在一個體積可變的密閉容器内,裝入氨氣2公升,若在溫度與壓力不變的條件下使氨分解:
(係數未平衡) 試問當容器内氣體的體積增加為原來的一倍時,有多少百分比(%)的氨分解? ’ (A) 50 (B) 80 (C) 90 (D) 100
22.三瓶標籤脱落的強酸,已知分別裝有濃鹽酸、濃硫酸及濃硝酸;試問下列哪一種物質可以單 獨鑑別這三種強酸? (A)方糖 (B)金片 (C)鉑片 (D)銅片
23.下列何者是鹼土族原子基態的電子組態? (A) 1S
2
2S
2
2P
5
(B) 1S
2
2S
2
2P
6
(C) 1S
2
2S
2
2P
6
3S
1
(D) 1S
2
2S
2
2P
6
3S
2
24.將12.65克的碳酸鈉溶於水後,調配成500mL的水溶液,試問溶液中鈉離子的體積莫耳濃度 (M)為何? [Na=23.0] (A) 0.26 (B) 0.48 (C) 0.96 (D)1.91
25.
,依勒沙特列原理向右反應之有利條件為: (A)加溫 (B)減溫 (C)加壓 (D)減壓
26.於銅鋅電池中,加Na
2
S於(Zn-Zn
2+
)半電池中’則電壓: (A)昇高 (B)不變 (C)降低 (D)無法預測
27.欲氧化定量的FeSO
4
之酸性溶液,若下列氧化劑濃度皆0.1 M,何者所需體積最少? (A)Br
2
(B) H
2
O
2
(C),KMnO
4
(D) K
2
Cr
2
O
7
28.下列何者最接近於理想氣體? (A)25°C latm CO
2
(B) 100K latm H
2
0 (C) 300K 0.1 atm He (D)-200°C 50atm H
2
29.某人誤將NaCl ’ Ba(NO
3
)
2
’(NH
4
)
2
SO
4
等三種溶液混合而產生沉澱,此沉澱可能為: (A) Na
2
SO
4
(B) NaNO
3
(C) NH
4
Cl (D) BaSO
4
30.下列哪一物質既非導體亦非電解質? (A)食塩 (B)石墨 (C)酒精 (D)黃銅
31.在常溫常壓下,某酸性水溶液甲,其pH值為4。取甲液1毫升’加水稀釋至10L為乙液,則乙液的pH值應為何? (A)5 (B)6 (C)7 (D)8
32.下列哪一組元素符號依序為[硼、神、鈦、鑭、氪]? (A) [Ba、Al、As、Cf、Xe] (B) [Br、Si、Ir、Eu、Ar] (C) [B、Sr、Pt、Pr、At ] (D) [B、As、丁i、La、Kr]
33.汽車上廢氣的觸媒轉化器可將一氧化氮轉變為何種氣體後,再予以排放? (A)氮氣 (B)—氧化二氮 (C) 二氧化氮 (D)四氧化二氮 ,
34.有一晶體以面心立方堆積,其單位晶格中在角落位置的原子X,數目為8,而在面心位置的原 子Y,數目為6,則此晶體的實驗式為: (A) X
2
Y (B) XY
3
(C) XY
2
(D) XY
35.HF、HCI、HBr與HI中,何者沸點最高?何者沸點最低? (A)沸點最高的是HF ;沸點最低的是HI (B)沸點最高的是HF ;沸點最低的是HC1 (C)沸點最高的是HI ;沸點最低的是HF (D)彿點最高的是HCl ;沸點最低的是HBr
36.正八面體的錯化合物
’其異構物有幾種? (A)2 (B)3 (C)4 (D)6
37。同溫同壓下,氧氣與氫氣的擴散速率比為下列何者? (A) 1 : 1 (B) 1 : 2 (C) 1 : 4 (D) 1 : 8
38.某化學工廠之廢水含有Hg
2+
重量百分率為0.0005% ’此廢水中之Hg
2+
含量應為? (A) 0.5ppm (B) 5ppm (C) 50ppm (D) 500ppm .
39.下列有關「酸雨」的敘述,何者正確? (A)酸雨會造成水質優養化。 (B)酸雨中帶有硫酸及硝酸成分。 (C)雨水的pH值低於7即為酸雨。 (D)酸雨是因空氣中的灰塵顆粒所引起。
40。下列有關空氣污染和水污染之敘述,何者正確? (A)大氣中光煙霧產生主要在光化層。 (B)水樣中之生化需氧量,通常是用來計算水中微生物含量。 (C)光煙霧是以塵埃為核心形成的。 (D)南極”臭氧洞n的形成是由於人類大量使用鐵氟龍(Teflon)所致。
41.下列何種可視為理想溶液? (A)丙酮+水 (B)丙酮+氯仿 (C)苯+氯仿 (D)乙醇+己烷
42。下列化合物的俗稱,何者不正確? (A) A1
2
O
3
俗稱苦土 (B) MgSO
4
• 7H
2
O 俗稱瀉塩 (C) CaO俗稱生石灰 (D) NaHCO
3
俗稱小蘇打
43名種化合物之組成比率為Na : 18.54% ’ S : 25.82% ’ 0 : 1935%及水3629% ’其化學式 應為? [Na=23.0,S=32.0] (A) Na
2
SO
4
• 10H
2
O (B) Na
2
SO
4
• 7H
2
O (C) Na
2
S
2
O
3
• 5H
2
O (D) Na
2
S
2
O
3
• 2H
2
O
44.在S.T.P.下,乙烷的密度為1.34g/L,則在同狀況下乙烯的密度為? (A) 1.15 g/L (B) 1.2 g/L (C) 1.25 g/L (D) 1.3 g/L
45。鉻在下列物質中的氧化數何者不同? (A) Na
2
CrO
4
(B) K
2
Cr
2
O
7
(C) CrO
2
Cl
2
(D) Cr
2
O
3
46。下列能量何者最大?( 1 L atm=24.2 cal) (A) 4 cal (B) 15 J (C) 0.14 Latm (D) 7.2 erg
47.
的半生期為29秒,經5秒後剩餘百分之多少? (A) 90 (B)88 (C)82 (D)80
48.下列何者不是二質子酸? (A)亞硫酸 H
2
SO
3
(B)亞磷酸 H
3
PO
3
(C)草酸 H
2
C
2
O
4
(D)蟻酸 CH
2
O
2
49.下列何者不是極性分子? (A)乙醚 (B)水 (C) 二氧化碳 (D)丙酮
50.下列離子在水溶液何者沒有顏色? (A) Cr
2
O
7
2-
(B) Cl
-
(C) Cu
2+
(D) MnO
4
-
51.下列有關化學鍵及分子極性的敘述,何者不正確? (A)金屬鍵結是金屬離子和周圍環繞的自由電子間之吸引力。 (B)極性共價鍵中的電子對,通常靠近電負度較大的原子。 (C)單一共價鍵中,共用的電子對來自於同一原子,稱為配位共價鍵。 (D)直線形的分子不可能具有極性。
52.跟據資料顯示:某國國民平均每人每年消耗汽油456公升,假設汽油的主要成分為正辛烷( 分子式為C
8
H
18
,密度為0.70 g/cm3,燃燒熱為-5430 KJ/mol ),且所使用的汽油完全燃燒成 水與二氧化碳。試問456公升的汽油完全燃燒所釋放出的熱量約可使多少質量的°C冰塊(熔 化熱為6.0KJ/mol)融化成0°C的水? (A) 456 公噸 (B) 45.6 公噸 (C) 456 公斤 (D) 45.6 公斤
53. 下列有關元素性質的敘述,正確的有幾項?
(甲)同一原子的游離能和電子親和力的大小相同,僅符號相反。
(乙)氟原子的電子親和力絕對值大於其游離能。
(丙)第二週期原子的電子親和力中,以氟所釋出的能量最大。
(丁)第三週期原子的半徑隨原子序的增加而增大。
(戊)鈉原子的第二游離能比第一游離能大。 (A)2 項 (B)3 項 (C)4 項 (D)5 項 .
54.一氧化氮與氫氣的反應2NO(g)+ 2H
2
(g)—> N
2
(g)+2H
2
0(g),其反應機構由兩步驟組成,如下所示:
第一步:2NO(g) + H
2
(g) —> N
2
(g) + H
2
O
2
(g)------慢
第二步:H
2
O
2
(g) + H
2
(g) — 2 H
2
O(g) ----------------快
根據上述敘述,下列何者錯誤? (A)第1步為速率決定步驟。 (B)此反應的反應速率=k[NO]
2
[H
2
]。 (C)此反應為二級反應。 (D)反應速率的級數與淨反應係數並沒有一定的關聯。
55•為了確定一個反應A—>B是一級反應,以t代表時間,則下列何種圖形必須是一條直線? (A) [A]對 t (B) (1/[A])對 t (C) In [A]對 t (D) In [A]對(1/t)
56•在同溫同體積的A、B、C三真空容器中’分別加入甲、乙、丙三種氣體各5克’結果A、B 、C三容器的壓力分別為25、50、75 mmHg,則此三種氣體分子量之比為? (A) 1 : 2 : 3 (B) 3 : 2 : 1 (C) 2 : 3 : 6 (D) 6 : 3 : 2
57.化學反應
則下列敘述何者不正確? (A)達平衡時,平衡常數
(B)該反應為一放熱反應,故反應速率隨溫度之降低而增加。 (C)降低溫度會使平衡常數增大。 (D)若Ea為此反應之活化能,則其逆反應的活化能為Ea—△H。
58.已知氣態甲烷分子中’ C與H間距離約為109pm,其H與H間之距離最接近下列哪個數值? (A) 160 pm (B) 180 pm (C) 200 pm (D) 220 pm
59.平衡下列反應方程式:她
(酸性溶液)’請問平衡的反應方 程式中,H
+
的係數為何? (A)6 ⑷ (B)7 (C)8 (D) 10
60.化學需氧量是指用化學方法氧化耗氧有機物所需消耗的氧量,常用以表示水受到耗氧有機物 污染的程度。若化合物的莫耳數相同,則下列何者的化學需氧量最大? (A) C
5
H
11
OH (B) C
5
H
12
(C) C
4
H
9
CHO (D) C
4
H
9
COOH
申論題 (0)
相關試卷
114年 - 114 經濟部所屬事業機構_新進職員甄試試題_化學:1 .普通化學 2 .無機化學#136971
114年 · #136971
113年 - 113 經濟部所屬事業機構_新進職員甄試_化學:1.普通化學、2.無機化學#124065
113年 · #124065
112年 - 112 經濟部所屬事業機構_新進職員甄試_化學:普通化學、無機化學#116965
112年 · #116965
111年 - 111 經濟部所屬事業機構_新進職員甄試試題_化學:1.普通化學 2.無機化學#111354
111年 · #111354
110年 - 110 經濟部所屬事業機構_新進職員甄試_化學:1.普通化學 2.無機化學#103671
110年 · #103671
109年 - 109 經濟部所屬事業機構_新進職員甄試_化學:1.普通化學 2.無機化學#92814
109年 · #92814
108年 - 108 經濟部所屬事業機構_新進職員甄試_化學:1.普通化學 2.無機化學#80844
108年 · #80844
107年 - 107 經濟部所屬事業機構_新進職員甄試_化學:1.普通化學 2.無機化學#78695
107年 · #78695
106年 - 106 經濟部所屬事業機構_新進職員甄試_化學:1.普通化學 2.無機化學#66383
106年 · #66383
105年 - 105 經濟部所屬事業機構_新進職員甄試_化學:2.無機化學#71777
105年 · #71777