阿摩線上測驗
登入
首頁
>
高考◆数学◆山西省
> 99年 - 2010年山西省高考真题(文科数学)#30290
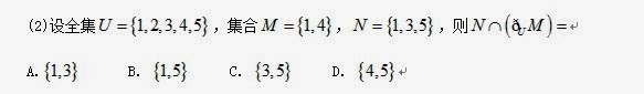
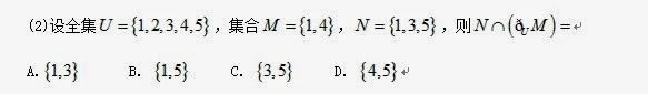
99年 - 2010年山西省高考真题(文科数学)#30290
科目:
高考◆数学◆山西省 |
年份:
99年 |
選擇題數:
12 |
申論題數:
0
試卷資訊
所屬科目:
高考◆数学◆山西省
選擇題 (12)
申論題 (0)
相關試卷
102年 - 2013年山西省高考真题(文科数学)#30284
102年 · #30284
102年 - 2013年山西省高考真题(理科数学)#30283
102年 · #30283
101年 - 2012年山西省高考真题(文科数学)#30286
101年 · #30286
101年 - 2012年山西省高考真题(理科数学)#30285
101年 · #30285
100年 - 2011年山西省高考真题(文科数学)#30288
100年 · #30288
100年 - 2011年山西省高考真题(理科数学)#30287
100年 · #30287
99年 - 2010年山西省高考真题(理科数学)#30289
99年 · #30289
98年 - 2009年山西省高考真题(文科数学)#30292
98年 · #30292
98年 - 2009年山西省高考真题(理科数学)#30291
98年 · #30291
97年 - 2008年山西省高考真题(文科数学)#30294
97年 · #30294