阿摩線上測驗
登入
首頁
>
高考◆数学◆江西省
> 99年 - 2010江西卷数学理科#30203
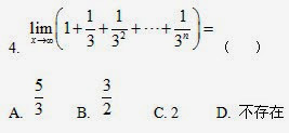
99年 - 2010江西卷数学理科#30203
科目:
高考◆数学◆江西省 |
年份:
99年 |
選擇題數:
13 |
申論題數:
0
試卷資訊
所屬科目:
高考◆数学◆江西省
選擇題 (13)
申論題 (0)
相關試卷
102年 - 2013江西数学文科#30199
102年 · #30199
102年 - 2013江西理科数学#30198
102年 · #30198
101年 - 2012江西数学理科#30202
101年 · #30202
100年 - 2011江西数学文科#30213
100年 · #30213
100年 - 2011江西文科数学#30212
100年 · #30212
100年 - 2011江西卷数学理科#30204
100年 · #30204
99年 - 2010江西数学文科#30211
99年 · #30211
98年 - 2009江西文科数学#30210
98年 · #30210
98年 - 2009江西数学理科#30201
98年 · #30201
97年 - 2008江西文科数学#30209
97年 · #30209