阿摩線上測驗
登入
首頁
>
高考◆理综◆福建省
> 99年 - 2010福建高考真题(理综)#14100
99年 - 2010福建高考真题(理综)#14100
科目:
高考◆理综◆福建省 |
年份:
99年 |
選擇題數:
18 |
申論題數:
0
試卷資訊
所屬科目:
高考◆理综◆福建省
選擇題 (18)
1.结核杆菌感染人体并侵入细胞后会引起结核病,体内接触该靶细胞并导致其裂解的免疫细胞是 (A)浆细胞 (B)T淋巴细胞 (C)B淋巴细胞 (D)效应T细胞
2.下列有关造血干细胞中物质运输的途径,可能存在的是 (A)吸收的葡萄糖:细胞膜一细胞质基质一线粒体 (B)合成的细胞膜蛋白:高尔基体一核糖体一细胞膜 (C)转录的mRNA:细胞核一细胞质基质一高尔基体 (D)合成的DNA聚合酶:核糖体一细胞质基质一细胞核
3.下列关于低温诱导染色体加倍实验的叙述,正确的是 (A)原理:低温抑制染色体着丝点分裂,使子染色体不能分别移向两极 (B)解离:盐酸酒精混合液和卡诺氏液都可以使洋葱根尖解离 (C)染色:改良苯酚品红溶液和醋酸洋红溶液都可以使染色体着色 (D)观察:显徽镜下可以看到大多数细胞的染色体数目发生改变
4.研究发现,胰岛素必须与细胞膜上的胰岛索受体结合,才能调节血糖平衡。如果人体组织细胞膜缺乏该受体,则可能导致 (A)细胞减缓摄取血糖,血糖水平过高 (B)细胞减缓摄取血糖,血糖水平过低 (C)细胞加速摄取血糖,血糖水平过高 (D)细胞加速摄取血糖,血糖水平过低
5.下图为人WNK4基因部分碱基序列及其编码蛋白质的部分氨基酸序列示意图。
已知WNK4基因发生一种突变,导致1169位赖氨敬交为谷氨酸。该基因发生的突变是 (A)①处插入碱基对G—C (B)②处碱基对A—T替换为G—C (C)③处缺失碱基对A—T (D)④处碱基对G—C替换为A—T
6.下列关于有机物的正确说法是 (A)聚乙烯可发生加成反应 (B)石油干馏可得到汽油、,煤油等 (C)淀粉、蛋白质完全水解的产物互为同分异构体 (D)乙酸乙酯、油脂与NaOH溶液反应均有醇生成。
7. 表示阿伏伽德罗常数,下列判断正确的是 (A)在18 中含有 个氧原子 (B)标准状况下,22.4L空气含有 个单质分子 (C)1 mol参加反应转移电子数一定为2 (D)含 个 的 溶解于1L水中, 的物质的量浓度为
8.下列有关化学研究的正确说法是 (A)同时改变两个变量来研究反映速率的变化,能更快得出有关规律 (B)对于同一个化学反应,无论是一步完成还是分几步完成,其反应的焓变相同 (C)依据丁大尔现象可将分散系分为溶液、胶体与浊液 (D)从HF、HCl、 、HI酸性递增的事 实,推出F、Cl、Br、I的非金属递增的规律
9.下列各组物质中,满足下图物质一步转化关系的选项是
10.下列关于电解质溶 液的正确判断是 (A)在pH = 12的溶液中, 、 、 、 可以常量共存 (B)在pH= 0的溶液中, 、 、 、 可以常量共存 (C)由0.1 mol• 一元碱BOH溶液的pH=10,可推知BOH溶液存在BOH= (D)由0.1 mol• 一元碱HA溶液的pH=3, 可推知NaA溶液存在A- + H2O⇋HA + OH-
12.化合物Bilirubin在一定波长的光照射下发生分解反应,反应物浓度随反应时间变化如右图所示,计算反应4~8min间的平均反应速率和推测反应16min时反应物的浓度,结果应是
13.中国已投产运行的1000kV特高压输电是目前世界上电压最高的输电工程。假设甲、乙两地原采用500kV的超高压输电,输电线上损耗的电功率为P。在保持输送电功率和输电线电阻都不变的条件下,现改用1000kV特高压输电,若不考虑其他因素的影响,则输电线上损耗的电功率将变为 (A)P/4 (B)P/2 (C)2P (D)4P
14.火星探测项目是我国继神舟载人航天工程、嫦娥探月工程之后又一个重大太空探索项目。假设火星探测器在火星表面附近圆形轨道运行的周期 ,神舟飞船在地球表面附近的圆形轨道运行周期为 ,火星质量与地球质量之比为p,火星半径与地球半径之比为q,则 与 之比为
15.一列简谐横波在t=0时刻的波形如图中的实线所示,t=0.02s时刻 的波形如图中虚线所示。若该波的周期T大于0.02s,则该波的传 播速度可能是 (A)2m/s (B)3m/s (C)4m/s (D)5m/s
16.质量为2kg的物体静止在足够大的水平面上,物体与地面间的动摩擦因数为0.2,最大静摩擦力和滑动摩擦力大小视为相等。从t=0时刻开始,物体受到方向不变、大小呈周期性变化的水平拉力F的作用,F随时间t的变化规律如图所示。重力加速度g取10m/s2,则物体在t=0到t=12s这段时间内的位移大小为
(A)18m (B)54m (C)72m (D)198m
17.如图(甲)所示,质量不计的弹簧竖直固定在水平面上,t=0时刻,将一金属小球从弹簧正上方某一高度处由静止释放,小球落到弹簧上压缩弹簧到最低点,然后又被弹起离开弹簧,上升到一定高度后再下落,如此反复。通过安装在弹簧下端的压力传感器,测出这一过程弹簧弹力F随时间t变化的图像如图(乙)所示,则
(A) 时刻小球动能最大 (B) 时刻小球动能最大 (C) ~ 这段时间内,小球的动能先增加后减少 (D) ~ 这段时间内,小球增加的动能等于弹簧减少的弹性势能
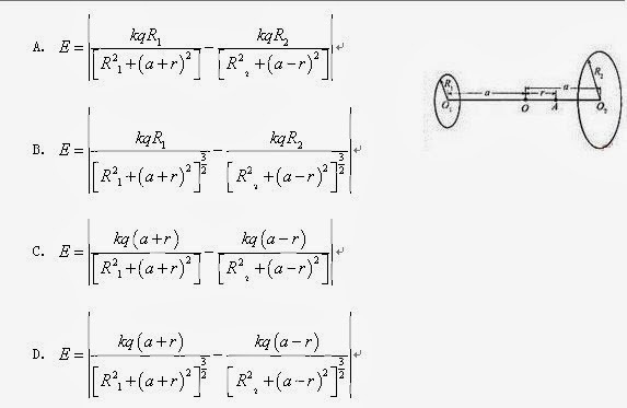
18.物理学中有些问题的结论不一定必须通过计算才能验证,有时只需要通过一定的分析就可以判断结论是否正确。如图所示为两个彼此平行且共轴的半径分别为 和 的圆环,两圆环上的电荷量均为q(q>0),而且电荷均匀分布。两圆环的圆心 和 相距为2a,联线的中点为O,轴线上的A点在O点右侧与O点相距为r(r
申論題 (0)
相關試卷
102年 - 2013福建高考真题(理综)#14095
102年 · #14095
101年 - 2012福建高考真题(理综)#14096
101年 · #14096
100年 - 2011福建高考真题(理综)#14098
100年 · #14098
98年 - 2009年福建高考真题(理综)#14102
98年 · #14102
97年 - 2008年福建高考真题(理综)#14094
97年 · #14094
97年 - 2008年福建高考真题(理综)#14093
97年 · #14093
96年 - 2007年福建高考真题(理综)#13702
96年 · #13702
95年 - 2006年福建高考真题(理综)#13704
95年 · #13704
94年 - 2005年福建高考真题(理综)#13705
94年 · #13705
93年 - 2004年福建高考真题(理综)#13706
93年 · #13706