所屬科目:奧林匹亞生物
26. 下表為以 5 種病毒進行對 DNase 或 RNAse 等核酸酶(nuclease)感受性、病毒 核酸是否為 mRNA、及病毒是否帶有核酸聚合酶分析的結果: 下列關於這五種病毒之敘述何者正確? (A) 病毒 4 可能是反轉錄病毒 (B) 病毒 2 可能是新流行性感冒病毒 (C) 病毒 1 可能是噬菌體 (D) 病毒 2 可能是反轉錄病毒 (E) 病毒 5 可能是反轉錄病毒
28. 基因 a、 b與 c位於同一染色體上,經試交後產生子代基因型和數目如下, 請問三個基因座的相關位置為何? (A) abc (B) acb (C) bca (D) bac (E) cab
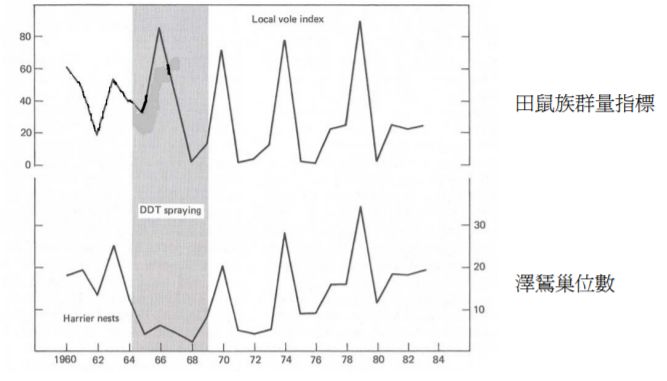
34.下圖為北美某濕地草原澤鵟(Harrier)的巢位數與田鼠(vole)之族群變動圖,試 問下列敘述何者正確? (A)此兩物種可能有競爭之關係 (B) 此兩物種可能有獵物(被捕食者 prey)與捕食者(predator)的關係 (C) 1964 到 1969 年間 DDT 的噴灑對澤鵟族群變化的影響大於對田鼠的影響 (D)1963、1970、1974、及 1979 年澤鵟由一夫一妻的配對改變為一夫二妻, 此種現象可能與田鼠族群量增加有關 (E) 此圖並無法反映田鼠族群量與澤鵟族群量變化的直接關係 田鼠族群量指標 澤鵟巢位數
38. 下表為各生物之間的交互作用,「+」表示對生物本身有利,「-」表示有 害,「O」表示沒有影響。試問下列生物關係的敘述,何者正確? (A) 鳥與蝨的關係屬於丁 (B) 海葵與小丑魚的關係屬於甲 (C) 樹幹上的鳥巢蕨與樟樹的關係屬於丁 (D) 水蠆與蝌蚪的關係屬於丙 (E) 鬣狗與獅子的關係屬於乙
39. 下圖為甲乙丙三種生物在年均雨量及年均溫各異地區的分布,試問下列敘 述何者正確? (A) 甲生物可能是仙人掌,乙生物可能是巨嘴鳥 (B) 甲生物可能是企鵝,乙生物可能是響尾蛇 (C) 甲生物可能是尤加利(桉樹),丙生物可能是無尾熊 (D) 乙生物可能是台灣山椒魚,丙生物可能是飛鼠 (E) 乙生物可能是紅毛猩猩,丙生物可能是台灣山椒魚