阿摩線上測驗
登入
首頁
>
工地主任-第一類科
> 99年 - 99年度營造業工地主任第二次評定考試試題#58207
99年 - 99年度營造業工地主任第二次評定考試試題#58207
科目:
工地主任-第一類科 |
年份:
99年 |
選擇題數:
50 |
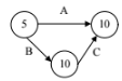
申論題數:
0
試卷資訊
所屬科目:
工地主任-第一類科
選擇題 (50)
1 所有觀測產生同一影響與同一符號之誤 差稱為 (A) 錯誤 (B) 偶然誤差 (C) 人為誤差 (D) 定誤差
2 ㄧ般常用於三邊測量及測繪地物、地貌的 細部之方法稱為。 (A) 三角法 (B) 三邊法 (C) 交會法 (D) 細部法
3 GPS 衛星坐標系統採用之地心系統稱為 (A) WGS66 (B) WGS72 (C) WGS84 (D) ITRF94
4 經緯儀視準軸不平行於望遠鏡水準管軸 之誤差稱為 (A) 直立軸誤差 (B) 橫軸誤差 (C) 視準軸誤差 (D) 縱軸誤差
5 測設大中型橋樑在水中的墩柱、橋台之中 心樁位時,一般常採用何種方法? (A) 視線交會法 (B) 角度交會法 (C) 側方交會法 (D) 雙高法
6 根據”營造安全衛生設施標準,雇主提供 勞工使用之安全帶或安裝安全母索時,安 全母索之最小斷裂強度為何? (A) 23 kg (B) 230 kg (C) 2300 kg (D) 23000 kg
7 若施工機具或作業產生之噪音程度超出 環保法規之規定時,何者不屬於必要或可 行的措施之一? (A) 縮短或調整該機具作業時段 (B) 立即停止該機具作業 (C) 採行有效之降低噪音方法 (D) 改用低噪音之機器
8 承包商擬定各項施工之交通安全維持及 管制計畫,送請工程司審核後,再轉請業 主核定。必要時,應送請哪一類當地主管 機關核可後實施? (A) 工務主管機關 (B) 建設主管機關 (C) 警政主管機關 (D) 交通主管機關
9 高度多少公尺以下的施工架及施工構台 可以不需要專人設計? (A) 5 m (B) 10 m (C) 15 m (D) 20 m
10 新臺幣一千萬元以上未達查核金額之工 程,其品質計畫內容至少應包括 (A) 內部品質稽核 (B) 管理責任 (C) 不合格品管制 (D) 品質管理標準
11 下列敘述何者為正確? (A) 總浮時一定大於自由浮時 (B) 任何正確之網圖只有一條要徑 (C) 要徑作業的干擾浮時必為 0 (D) 會影響後續作業 ES 的浮時稱為自由 浮時
12 已知某作業的需時為 5 天及 ES= 10 天, 其後續作業之 ES = 25 天,請問該作業的 FF 為何? (A) 5 天 (B) 10 天 (C) 15 天 (D) 20 天
13 右列之箭線圖繪製何者為正確? (A)
(B)
(C)
(D)
14 下列有關工料分析之敘述何者為不正 確? (A) 重大或較複雜之工程,應儘量避免採 用按合約總價一式計付 (B) 工安費用屬於間接成本 (C) 按工程項目實做數量計付具有較為公 平合理之特性,且原設計之工程數量 僅供參考 (D) 一般工程工料分析的內容,多採工 率、用料,單價三種主要分類構成
15 下列何者不屬工程直接成本? (A) 分包工程費用 (B) 教育訓練費用 (C) 敦親睦鄰費用 (D) 保險費用
16 有關工料分析之敘述,下列何者為正確? (A) 總價式工料分析之優點為準確合理 (B) 實用式工料分析之缺點為未依個案調 整較不準確 (C) 傳統式工料分析之缺點為費工費時 (D) 傳統式工料分析之優點為符合行情, 容易校核
17 品質是管理出來的,此係費根堡博士認為 品質管制的第幾個階段? (A) 第二階段 (B) 第三階段 (C) 第四階段 (D) 第五階段
18 下列何者屬於二級品質管理之項目? (A) 訂定品質管理標準 (B) 執行品質稽核 (C) 提報品管人員與更換執行不良者 (D) 成立品管組織並訂定管理責任
19 巨額採購之工程,品管人員的人數應: (A) 由工程主辦單位決定之 (B) 由監造單位決定之 (C) 至少 3 人 (D) 至少 2 人
20 下列何者並非用以考核供應廠商的主要 項目? (A) 工安環保 (B) 服務 (C) 品質 (D) 財務能力
21 針對營建倫理,下列何者為 Trevino 與 Nelson 所提出之個人倫理決策的流程? (A) 組織特質→個人特質→個人的倫理決 定與行為 (B) 組織特質→個人的倫理決定與行為→ 個人特質 (C) 個人特質→個人的倫理決定與行為→ 組織特質 (D) 個人特質→組織特質→個人的倫理決 定與行為
22 下列哪項不屬於工址調查之工作內容? (A) 地形測量 (B) 地籍圖套繪 (C) 地質調查 (D) 材料訪價
23 填土後需配合進行滾壓夯實作業,以達到 規定之壓實密度,下列有關下列滾壓夯實 施工管理重點,哪項不正確? (A) 填土滾壓時,土質越濕越佳,以利滾 壓作業之進行 (B) 所填土壤中,如含有硬土塊,須用適 當之工具妥為打碎舖平,並酌量灑水 後用適當機具滾壓之 (C) 滾壓作業應沿路堤縱向進行,由外緣 漸向中心線滾壓,務使每一部分均獲 致相等之壓實效果 (D) 各層填方滾壓完成後應做工地密度試 驗,如試驗結果未達規定壓實密度 時,應繼續滾壓,或以翻鬆灑水或翻 曬涼乾後重新滾壓之方法處理,務必 達到規定壓實密度為止
24 使用振動壓路機滾壓 AC 路面時,下列哪 項不正確? (A) 使用振動壓路機時,無論為單鼓式或 雙鼓式,且應能調整其振幅及振動頻 率者,俾依材料、配合比及溫度等不 同之瀝青拌和料,均能按達規定之壓 實密度,且不致產生不平順之波紋 (B) 振動壓路機之振動頻率通常以 2,000 ~3,000RPM 為宜,振幅則以 0.4~0.8mm 為佳 (C) 振動壓路機之滾壓速度以 3~5km/h 為佳 (D) 振動壓路機最適合每層厚度 5cm 以 下之瀝青混凝土路面
25 下列哪項有關剛性路面之描述最為不正 確? (A) 剛性路面使用之混凝土「水灰比」較 高 (B) 剛性路面施作時,拌和機之攪拌力需 求較高 (C) 剛性路面適用於橋面 (D) 運輸機具須考量易於倒出,故除偶有 採用預拌車運送外,大多以傾卸車為 之
26 有關橋樑施工下列何者為不正確? (A) 懸臂工法在施工過程中,橋梁上部結 構為一之懸臂結構,梁頂緣以壓應力 為主,梁底緣則以受張應力為主 (B) 橋梁工程採用高度機械化之施工法, 於施工過程各階段完成構造物之受力 傳遞狀況與完成時之結構系統,有顯 著之差異。 (C) 橋樑施工過程中之結構系統與完工之 結構系統有所差異 (D) 節塊推進工法,施工中上構結構各斷 面之應力,亦會隨著該斷面因推進產 生不同之應力
27 下列有關混凝土橋樑之時變特性之描述 中,何者最為不正確? (A) 混凝土澆置後於材齡甚短之階段受力 時,將產生較小之變形量;於材齡較 長之階段受力時,將產生較大之變形 量 (B) 混凝土於受力後有一「初始變位」,但 其隨時間之增長,其變位亦會改變, 此即為潛變 (C) 橋梁之設計者在設計階段,應假設混 凝土受力時之材齡,方可計算較正確 之應力及變形 (D) 橋梁採用節塊工法時,其節塊長度之 決定應考慮時變特性,否則因為節塊 尺寸隨時間改變,將造成橋梁長度與 設計長度之差異,甚至造成閉合上之 困擾
28 噴凝土可作為隧道支撐壁體,下列有關噴 漿機噴灌,何項敘述最為不正確? (A) 噴凝土是以水泥、骨材、水及速凝劑 等攪拌混合而成 (B) 噴漿機噴灑噴凝土,使之黏附於隧道 壁面上以形成支撐壁體 (C) 濕式噴凝土是於噴嘴前加水 (D) 乾式噴凝土與濕式噴凝土之區別在於 水之添加時機
29 以下針對錘擊式樁錘之描述,何者最為不 正確? (A) 錘擊式樁錘是利用落錘沿導架落下以 重力夯擊基樁使插入地層內。錘擊式 樁錘主要設備組成包括樁錘、導架和 捲揚機 (B) 打樁時通常須於樁頂套上一承受落錘 敲擊力量之構造,以防止樁體受敲擊 時破裂 (C) 樁錘之種類依其作用力之方式區分為 衝擊樁錘、落擊樁錘兩種。落擊樁錘 之動力採壓縮空氣或蒸汽,依其落下 之方式可分成單動式樁錘及雙動式兩 種 (D) 相對於振動樁錘,錘擊式樁錘較適合 於無黏性之砂質土壤中打設基樁
30 地形測量係以何處平均海平面為基面? (A) 基隆 (B) 台中 (C) 高雄 (D) 當地
31 以下哪一項為適用塑流性的軟弱地盤之 直接基礎? (A) 獨立基礎 (B) 聯合基礎 (C) 連續基礎 (D) 筏式基礎
32 有關土方開挖,下列何項不正確? (A) 倘不妨礙開挖工程之動線,應從距離 棄土搬出口最近處起開始挖掘 (B) 自開挖完成處開始裝置橫擋及支撐等 之承托物 (C) 坡肩之寬度依地盤之性質而異,但最 小須在 2m 以上 (D) 周圍開挖之深度,以架設各段支撐前 之擋土牆不發生變形為限
33 以下哪一項不是承包商進行土質改良前 所應調查項目? (A) 地質調查 (B) 漿液配比 (C) 地下水調查 (D) 地下埋設物調查
34 下列何者非為營造業職業災害常見之基 本原因有? (A) 未設勞工安全衛生人員 (B) 未訂定安全衛生工作守則 (C) 未對作業勞工實施危害告知 (D) 未設符合標準之安全衛生設備
35 勞工安全衛生組織管理及自動檢查辦法 規定營造業歸為第幾類? (A) 第一類 (B) 第二類 (C) 第三類 (D) 第四類
36 安全觀察之意涵是為防止工地意外事故 之發生,對於工作場所中作業勞工之 何 種情況加以觀察? (A) 不安全狀況 (B) 不安全行為 (C) 不安全設備 (D) 不安全管理
37 此網圖共存在幾個要徑作業? (A) 4 個 (B) 3 個 (C) 2 個 (D) 0 個
38 對此網圖中虛作業的敘述,下列何者為不 正確? (A) 無作業時間 (B) 可能成為要徑作業 (C) 無總浮時 (D) 無自由浮時
39 下列敘述何者為正確? (A) 作業 J 的 EF 與 LF 為不同 (B) 作業 G 的 LS 與 LF 為相同 (C) 作業 G 的 TF 與 FF 為相同 (D) 非要徑作業的自由浮時必不為 0
40 對作業 F 的敘述,下列何者為正確? (A) 干擾浮時不為 0 天 (B) 自由浮時為 0 天 (C) 在所有其它作業都按預定進度完成 下,若作業 F 延誤了 3 天,則總工期 需 19 天 (D) 此作業無論延誤多少天,也不可能成 為要徑作業
41 對作業 H 的敘述,下列何者為不正確? (A) 總浮時不為 0 天 (B) 自由浮時為 0 天 (C) 干擾浮時為 2 天 (D) 此作業之 EF 與 LS 為相同
42 張主任針對基礎施工工班之作業,下列何 者為錯誤: (A) 進行基礎開挖作業,需配合抽排水及 擋土設施 (B) 開挖完成後須等待至少14後始能開始 澆置墊底混凝土,並施作基礎之鋼筋 混凝土作業 (C) 開挖時應注意墜落及溺水工安意外 (D) 開挖時應注意開挖坡面之保護
43 張主任針對圍堰施工工班之作業,下列何 者為錯誤: (A) 圍堰施工需向水利主管單位申請河川 使用許可 (B) 施工時應注意鋼版樁銜接之密合度 (C) 填土過程應注意鋼版樁是否內傾,並 應確實防止 (D) 施工時應注意水流臨時改道之可能性
44 張主任針對墩柱施工工班之作業,,下列 何者為錯誤: (A) 橋梁墩柱鋼構作業以吊裝為主,鋼筋 混凝土則多以預鑄之施工方式為主 (B) 施工時應注意墩柱垂直度、箍筋配置 (C) 施工時應注意物體飛落、人員墜落、 支撐架倒塌之工安意外 (D) 施工時應注意升層規劃及墩頂高程
45 張主任針對支承墊安裝施工工班之作 業,下列何者為錯誤: (A) 橋梁支承大部份位於墩柱底端 (B) 支承墊主要作用為傳遞上構力量至橋 墩及提供束制之(位移與轉角)關係。 (C) 支承墊安裝應檢查支承種類及活動方 向 (D) 支承墊安裝應注意安裝精準度與平整 度
46 張主任針對預鑄樑節塊生產線佈設,下列 何者為錯誤: (A) I 型樑之製造多以併排方式佈設 (B) 預鑄節塊則需依設計圖,由小到大之 順序製造 (C) 「短線製造」之生產線安排僅留一單 元作為下一節塊相鄰面之端模,完成 後即將前一節塊吊離存放,線上僅留 一單元 (D) 「長線製造」之生產線安排則以一跨 為製造單位,一次完成整跨節塊之製造
47 下列有關連續壁工法之特色敘述,何者不 正確? (A) 連續壁壁體剛性大,變形小,故周圍 地盤不致沉陷,地下埋設物不致受 損,適用於市區內之施工 (B) 壁厚及配筋均不受限制,對任何耐力 均可設計,因而適用於較深之擋土壁 (C) 開挖機具大型,欠缺移動性 (D) 連續壁不可當作地下本體結構物使用
48 以下哪一項最適用於本開挖工程之支撐 工法? (A) 水平支撐 (B) 擋土壁自承工法 (C) 逆打工法 (D) 地錨工法
49 以下哪一項不是地下連續壁工法之特 色? (A) 適用所有地盤 (B) 具有其他工法較佳之止水效果 (C) 可作為地下本體結構物使用 (D) 開挖作業準備日數短
50 以下哪一項不是超泥漿穩定液可再使用 之必要指標值檢測? (A) PH 值介於 8.5~11.0 (B) 黏滯度介於 36~42 秒 (C) 含砂量介於 0~1% (D) 比重大於 0~1.05
申論題 (0)
相關試卷
115年 - [非官方正解]115-2 內政部國土管理署_營造業工地主任評定考試試題_第一類科(B)#139899
115年 · #139899
115年 - [非官方正解]115-2 內政部國土管理署_營造業工地主任評定考試試題:第一類科(A)#139898
115年 · #139898
115年 - 115-1 內政部國土管理署_營造業工地主任評定考試試題:第一類科(A)#136717
115年 · #136717
115年 - 115-1 內政部國土管理署_營造業工地主任評定考試試題:第一類科(B)#136713
115年 · #136713
114年 - 114-3 內政部國土管理署_營造業工地主任評定考試試題:第一類科(B)#132556
114年 · #132556
114年 - 114-3 內政部國土管理署_營造業工地主任評定考試試題:第一類科(A)#131154
114年 · #131154
114年 - 114-2 內政部國土管理署_營造業工地主任評定考試試題_第一類科(A)#127139
114年 · #127139
114年 - 114-2 內政部國土管理署_營造業工地主任評定考試試題_第一類科(B)#127119
114年 · #127119
114年 - 114-1 內政部國土管理署_營造業工地主任評定考試試題_第一類科(A)#124987
114年 · #124987
114年 - 114-1 內政部國土管理署_營造業工地主任評定考試試題_第一類科(B)#124986
114年 · #124986