阿摩線上測驗
登入
首頁
>
有機化學
> 99年 - 99 地方政府特種考試_三等_衛生檢驗:有機化學#41503
99年 - 99 地方政府特種考試_三等_衛生檢驗:有機化學#41503
科目:
有機化學 |
年份:
99年 |
選擇題數:
0 |
申論題數:
28
試卷資訊
所屬科目:
有機化學
選擇題 (0)
申論題 (28)
⑴同邊加成反應(syn-addition reaction)
⑵雜環芳香族化合物(heterocyclic aromatic compound)
⑶鏡像異構物(enantiomers)
⑷格任亞試劑(Grinard reagent)
⑸狄耳士-阿德爾反應(Diels-Alder reaction)
⑴ 2-異丁基-1-庚烯(2-isobutyl-1-heptene)
⑵乙酸苯酯(phenylacetate)
⑶ N,N-二甲基乙胺(N,N-dimethylethanamine)
⑷疊氮苯(phenyl azide)
⑸苯基乙酸酐(phenylethanoic anhydride)
【已刪除】 (1)
【已刪除】 ⑵
【已刪除】 ⑶
【已刪除】 ⑷
【已刪除】 ⑸
【已刪除】 ⑹
【已刪除】 ⑺
【已刪除】 ⑻
【已刪除】 ⑼
【已刪除】 ⑽
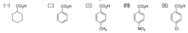
【已刪除】四、下列五種化合物,請依酸性(acidity)由強至弱排序。(10 分)
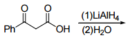
【已刪除】 五、化合物 C
9
H
8
O的
1
H 及
13
C NMR 光譜圖如下,試推導出此化合物的結構式。(10 分)
【已刪除】六、寫出下列反應的反應機構。(10 分)
【已刪除】⑴
【已刪除】⑵
【已刪除】(3)
【已刪除】(4)
【已刪除】(5)
相關試卷
115年 - 115 關務特種考試_三等_化學工程(選試英文):有機化學#138982
115年 · #138982
115年 - 115 關務特種考試_四等_化學工程(選試英文):有機化學概要#138903
115年 · #138903
114年 - 114 公務升官等考試_薦任_化學工程:有機化學#133257
114年 · #133257
114年 - 114 調查特種考試_三等_化學鑑識組、醫學鑑識組:有機化學#129586
114年 · #129586
114年 - 114 一般警察特種考試_二等_刑事鑑識人員材料及化學物品鑑析組:有機化學#127790
114年 · #127790
114年 - 114 關務特種考試_三等_化學工程(選試英文):有機化學#126661
114年 · #126661
114年 - 114 關務特種考試_四等_化學工程(選試英文):有機化學概要#126655
114年 · #126655
113年 - 113 調查特種考試_三等_化學鑑識組、醫學鑑識組:有機化學#122084
113年 · #122084
113年 - 113 關務特種考試_三等_化學工程(選試英文):有機化學#119488
113年 · #119488
113年 - 113 關務特種考試_四等_化學工程(選試英文)、化學工程(選試日文):有機化學概要#119484
113年 · #119484