阿摩線上測驗
登入
首頁
>
水利工程
> 99年 - 99 專技高考_水利工程技師:水利工程(包括海岸工程、防洪工程與排水工程)#46537
99年 - 99 專技高考_水利工程技師:水利工程(包括海岸工程、防洪工程與排水工程)#46537
科目:
水利工程 |
年份:
99年 |
選擇題數:
0 |
申論題數:
9
試卷資訊
所屬科目:
水利工程
選擇題 (0)
申論題 (9)
一、請說明堤防會發生潰決的原因。(10 分)
二、請說明防砂壩應用於集水區溪流治理之功用。(10 分)
⑴請計算深槽水深為 5 公尺時的深槽平均流速、流量及全斷面流量。(10 分)
⑵若洪水平原的曼寧 n 值增為 0.05,坡度及深槽曼寧 n 值不變,全斷面流量與⑴相 同,請計算深槽水深、流量及平均流速。(10 分) 300 公尺 100公尺 3 公尺 圖1
四、若市區雨水下水道排水系統集水面積不超過 100 公頃,採用 5 年重現期歷時 1 小時 的降雨量為排水斷面設計標準;雨水下水道系統下游銜接之區域排水系統採用 20 年重現期之暴雨量設計,並採用單位歷線估算設計流量,請概述這兩種排水系統之 設計雨量及設計流量之計算程序與考量事項。(15 分)
五、如圖 2 所示,一街道有 15 公尺寬,路冠有 15 公分高,道路縱向坡度為 0.03,路面 之曼寧 n 值為 0.02,街道兩側人行道路肩高 20 公分。若設計暴雨之強度為每小時 80 公釐,假設無其他鄰近地區的逕流進入本街道,路面逕流係數為 0.98,最大允許 之路面積水寬度為 1 公尺,請求出兩個路邊進水口之間的最大允許距離。(15 分)
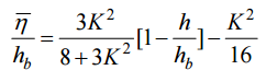
六、波浪從深海傳遞至淺海,會產生輻射應力(radiation stress),使近岸平均水位上升 或下降,稱為波揚(wave setup)或波降(wave setdown)。依微小振幅波理論,推 算波揚之公式為
式中
為波揚高程, h
b
為碎波水深, K = 0.78 。如碎波水深 h
b
= 5 m ,試求在灘線之 波揚。(11 分)
七、繪出全日潮(diurnal tides),半日潮(semi-diurnal tides)及混合潮(mixed tides) 之潮型。(9 分)
八、波浪在海堤堤前碎波後再溯升,Hunt(1959)溯升公式為
式中R表示溯升高度,H為堤前波高,L
D
為深海波長, tan α 為堤面坡度。今有一海 堤堤面坡度 tan α = 1 / 2 ,堤前波高 H = 2 m ,波浪週期 T = 10 sec ,試求堤溯升高度R 為若干?(10 分)
相關試卷
98年 - 98 專技高考_水利工程技師:水利工程(包括海岸工程、防洪工程與排水工程)#47602
98年 · #47602
96年 - 96 專技高考_水利工程技師:水利工程(包括海岸工程、防洪工程與排水工程)#50593
96年 · #50593