阿摩線上測驗
登入
首頁
>
有機化學
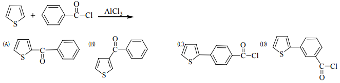
> 99年 - 99 普通考試_化學工程:有機化學概要#43585
99年 - 99 普通考試_化學工程:有機化學概要#43585
科目:
有機化學 |
年份:
99年 |
選擇題數:
25 |
申論題數:
19
試卷資訊
所屬科目:
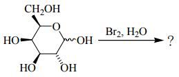
有機化學
選擇題 (25)
1 何者是 DNA 的二級結構? (A) α-螺旋(an α-helix) (B)雙螺旋(a double helix) (C)摺疊結構 (D)無規線團
2 胜肽(Peptide)的端胺基(terminal amino group)可用下列何物反應而確認之: (A)氟化氫 (B) 2, 4-二硝基氟苯 (C)斐林試液(Fehling’s solution) (D)硝基苯
3 下列何者不是單糖? (A)葡萄糖 (B)甘露糖 (C)乳糖 (D)果糖
4 還原糖(reducing sugar)可與下列何物作用產生沈澱? (A)氯仿 (B)醋酸 (C)斐林試液(Fehling’s solution) (D)氨
5 何者為下列反應的主產物?
6 下列反應中何者是還原反應?
7 下列化合物的 C=O 伸張振動頻率,何者最小?
(A)CH
3
CH
2
CH
2
CO
2
CH
3
(B)CH
3
CH
2
CH
2
CHO
(C)CH
3
CH
2
COCH
3
(D)CH
3
CH
2
CH
2
CONH
2
8 下列氯化醯(Acid chioride)與親核性試劑(nucleophile)之反應性,何者最大?
(A) (CH
3
)
3
CCOCl
(B) (CH
3
)
2
CHCOCl
(C)CH
3
CH
2
COCl
(D)CH
3
COCl
9 烷基胺進行亞硝基化(Nitrosation)時會產生: (A)碳陽離子中間體 (B)穩定的烷基重氮離子(alkyl diazonium ion) (C)烷基偶氮化合物 (D)亞硝酸酯
10 下列化合物之鹼性強度排列順序為:
(A) D>B>C>A (B) B>C>A>D (C) A>C>B>D (D) A>D>B>C
11 下列何種化合物之紅外光譜有一 1700 cm-1吸收峰,且核磁共振光譜在δ1.1 (d, 6H), 2.1 (s, 3H), 2.3-2.8 (m, 1H) 有共振訊號峰?
12 下列環狀酮類化合物中,何者最不安定?
13 下列羰基化合物,何者會與I
2
, NaOH在水中反應生成黃色固體?
14 下列何者為一級醇:
15 下列何種化合物不存在? (A)甲醚 (B)甲醛 (C)甲酮 (D)甲酸
16 化合物
的中文名稱為: (A)對苯甲醚甲醇 (B)對甲醚苯甲醇 (C)對甲氧苄醇 (D)甲醇苯甲基醚
17 下列那一組試劑最適合用於完成下述反應?
(A)KMnO
4
,
–
OH
(B) (1) MCPBA, (2) H
3
O
+
(C)OsO
4
, H
2
O
2
, H
2
O
(D) (1) H
2
O, Br
2
, (2) NaOH
18 於紫外線光譜圖中,下列何種化合物之吸收波長( λπ →π * )最長?
19
20 下列烯類化合物中何者最穩定?
21 下列化合物,最多可與多少莫耳的氫作用?
CH
3
-CH=CH-C≣CH
(A)1 (B)3 (C)6 (D)8
22 烷類化合物(CnH2n+2)中具掌性(chiral)者其分子量最小為若干? (A) 72 (B) 86 (C) 100 (D) 114
23 下列各分子何者具旋光性?
24 下列結構之國際標準命名(IUPAC)為:
(A) 1-甲基-4-碘環戊烷 (B) 1-碘-4-甲基環己烷 (C) 1-碘-3-甲基環戊烷 (D) 1-碘-3-乙基環己烷
25 下列反應之主產物為何?
申論題 (19)
【已刪除】⑴
【已刪除】 ⑵
【已刪除】 ⑶
【已刪除】 ⑷
【已刪除】 ⑸
【已刪除】 ⑹
【已刪除】 ⑺
【已刪除】 ⑻
【已刪除】 ⑼
【已刪除】 ⑽
A
B
C
D
E
A
B
C
D
相關試卷
115年 - 115 關務特種考試_三等_化學工程(選試英文):有機化學#138982
115年 · #138982
115年 - 115 關務特種考試_四等_化學工程(選試英文):有機化學概要#138903
115年 · #138903
114年 - 114 公務升官等考試_薦任_化學工程:有機化學#133257
114年 · #133257
114年 - 114 調查特種考試_三等_化學鑑識組、醫學鑑識組:有機化學#129586
114年 · #129586
114年 - 114 一般警察特種考試_二等_刑事鑑識人員材料及化學物品鑑析組:有機化學#127790
114年 · #127790
114年 - 114 關務特種考試_三等_化學工程(選試英文):有機化學#126661
114年 · #126661
114年 - 114 關務特種考試_四等_化學工程(選試英文):有機化學概要#126655
114年 · #126655
113年 - 113 調查特種考試_三等_化學鑑識組、醫學鑑識組:有機化學#122084
113年 · #122084
113年 - 113 關務特種考試_三等_化學工程(選試英文):有機化學#119488
113年 · #119488
113年 - 113 關務特種考試_四等_化學工程(選試英文)、化學工程(選試日文):有機化學概要#119484
113年 · #119484