阿摩線上測驗
登入
首頁
>
研究所、轉學考(插大)-高等微積分
> 99年 - 99 淡江大學 轉學考 高等微積分#55746
99年 - 99 淡江大學 轉學考 高等微積分#55746
科目:
研究所、轉學考(插大)-高等微積分 |
年份:
99年 |
選擇題數:
0 |
申論題數:
9
試卷資訊
所屬科目:
研究所、轉學考(插大)-高等微積分
選擇題 (0)
申論題 (9)
1. (i2 points) Show that f{x) = sin x is uniformly continuous on (-∞, ∞).
【已刪除】2.
【已刪除】3.
【已刪除】4.
【已刪除】 (a) (8 points) Show that
【已刪除】(b) (8 points) Estimate
【已刪除】6. (12 points) Evaluate
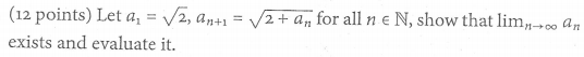
【已刪除】7. (12 points) Let
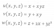
【已刪除】8. (12 points)
Show that f is differentiable at (o, o) while df jdx is not continuous at (o,o).
相關試卷
110年 - 110 國立清華大學碩士班考試入學試題_數學系:高等微積分#105486
110年 · #105486
110年 - 110 國立中央大學_碩士班招生考試_數學系/數學組(一般生):高等微積分#105339
110年 · #105339
110年 - 110 國立中山大學碩士暨碩士專班招生考試_應數系碩士班/丙組:高等微積分#104293
110年 · #104293
110年 - 110 國立臺灣大學_碩士班招生考試_數學研究所:高等微積分#101950
110年 · #101950
109年 - 109 東吳大學_轉學生招生考試_數學系三年級︰高等微積分#108263
109年 · #108263
107年 - 107 東吳大學_碩士班招生考試_數學系(A組):高等微積分#107433
107年 · #107433
107年 - 107 東吳大學_暑假轉學生招生考試_數學系三年級:高等微積分#105419
107年 · #105419
104年 - 104 淡江大學 轉學考 高等微積分#55495
104年 · #55495
97年 - 97 淡江大學 轉學考 高等微積分#55794
97年 · #55794
91年 - 91 淡江大學 轉學考 高等微積分#56136
91年 · #56136