阿摩線上測驗
登入
首頁
>
有機化學
> 99年 - 99 調查特種考試_三等_化學鑑識組、醫學鑑識組:有機化學#42257
99年 - 99 調查特種考試_三等_化學鑑識組、醫學鑑識組:有機化學#42257
科目:
有機化學 |
年份:
99年 |
選擇題數:
0 |
申論題數:
28
試卷資訊
所屬科目:
有機化學
選擇題 (0)
申論題 (28)
【已刪除】 ⑴
【已刪除】 ⑵
【已刪除】 ⑶
【已刪除】 ⑷
【已刪除】 ⑸
【已刪除】6.
【已刪除】7.
【已刪除】8.
【已刪除】9.
【已刪除】10.
【已刪除】11.
【已刪除】12.
【已刪除】13.
【已刪除】14.
【已刪除】15.
【已刪除】二、請詳述下列反應的反應機構。(10 分)
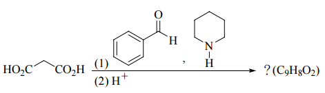
【已刪除】三、試以化學構造式寫出下列合成步驟的各產物 A 至 E。(10 分)
【已刪除】 ⑴
【已刪除】 ⑵
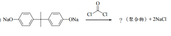
【已刪除】五、試由左列反應物製備右列化合物。(10 分)
⑴CH
2
Cl
2
或CH
3
OH
⑵CH
3
C(O)CH
3
或(CH
3
)
2
C=CH
2
⑶CH
3
CH
2
Cl或NaCl
⑷CH
3
CH
2
CH
2
SH或CH
3
CH
2
CH
2
OH
⑸CH
3
CH
2
OCH
2
CH
3
或CH
3
CH
2
CH
2
CH
2
CH
3
【已刪除】七、某物的分子式為C
4
H
7
ClO
2
,其光譜數據如下,試鑑定各組吸收並推導此物之結構 式。(10 分)
⑴東印度產馬鞍木精油(Sandalwood oil)中有一種成分檀烯(santene, C
9
H
14
)在與 臭氧反應後再經過二甲基硫醚(dimethylsulfide)還原性水解,得到下列之化合 物A,請畫出santene之結構式?(5 分)
⑵歐洲雌性榆樹蛀蟲產生之聚集費洛蒙中有一種成分可由丙醛及 2-溴戊烷之格林 納試劑(Grignard reagent)合成,請畫出該費洛蒙之結構式?(5 分)
相關試卷
115年 - 115 關務特種考試_三等_化學工程(選試英文):有機化學#138982
115年 · #138982
115年 - 115 關務特種考試_四等_化學工程(選試英文):有機化學概要#138903
115年 · #138903
114年 - 114 公務升官等考試_薦任_化學工程:有機化學#133257
114年 · #133257
114年 - 114 調查特種考試_三等_化學鑑識組、醫學鑑識組:有機化學#129586
114年 · #129586
114年 - 114 一般警察特種考試_二等_刑事鑑識人員材料及化學物品鑑析組:有機化學#127790
114年 · #127790
114年 - 114 關務特種考試_三等_化學工程(選試英文):有機化學#126661
114年 · #126661
114年 - 114 關務特種考試_四等_化學工程(選試英文):有機化學概要#126655
114年 · #126655
113年 - 113 調查特種考試_三等_化學鑑識組、醫學鑑識組:有機化學#122084
113年 · #122084
113年 - 113 關務特種考試_三等_化學工程(選試英文):有機化學#119488
113年 · #119488
113年 - 113 關務特種考試_四等_化學工程(選試英文)、化學工程(選試日文):有機化學概要#119484
113年 · #119484