阿摩線上測驗
登入
首頁
>
技師◆大地測量學
> 101年 - 101 專技高考_測量技師:大地測量學#26382
101年 - 101 專技高考_測量技師:大地測量學#26382
科目:
技師◆大地測量學 |
年份:
101年 |
選擇題數:
0 |
申論題數:
5
試卷資訊
所屬科目:
技師◆大地測量學
選擇題 (0)
申論題 (5)
【已刪除】一、如大地水準測量圖所示,每段路線約略等長,因此可視所測的高程差 , hi i∈{ K 9,,2,1 } 權重相等。倘若水準圈高程差能夠閉合,且所屬線性的組合 3×9 係數矩陣為:
。此矩陣乘上自己的轉置矩陣後,結果之行列式為 何等於零?(10 分)試問可用何種運算策略,使新結果的行列式不等於零?(10 分)
二、橢球高 h(m)與正高 H(m)間的差值稱作大地起伏 N,或者 N = h – H。地表上任 兩個點位間,試申論在何等條件或狀況下,橢球高差異足以取代正高差異?(20 分)
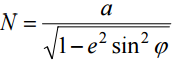
【已刪除】三、設地面點 P 的三維地心直角坐標 X(m)、Y(m)與 Z(m)已知,此外亦已知通 過 P 點的卯酉圈曲率半徑,
,此處記號 a(m)表示橢球子午圈的 半長軸、e 為離心率。試列式說明如何求解(含疊代方式)點 P 的大地緯度
φ
(deg), 大地經度 λ(deg)與橢球高 h(m)?(20 分)
四、從物理的定義知,力向量與移動的距離相乘代表作功。試申論地球重力場中,某點 單位質量位能微幅的改變會等於該處重力乘上高程微幅的改變。(20 分)
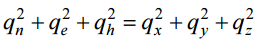
【已刪除】五、導航 GPS 衛星定位於三維地心地固右手直角坐標成果為 x y z),,( ,其方差或變異數 之和表達成:
。藉旋轉大地經度與大地餘緯度後,再將右手系統轉換為 左手坐標系統地平直角( 坐標。試列式驗證方差或變異數總和是不變的;換言 之,
。(20 分)