阿摩線上測驗
登入
首頁
>
國營事業◆自動控制
> 101年 - 101 臺灣菸酒股份有限公司新進職員甄試_3職等_電子電機人員:自動控制#26671
101年 - 101 臺灣菸酒股份有限公司新進職員甄試_3職等_電子電機人員:自動控制#26671
科目:
國營事業◆自動控制 |
年份:
101年 |
選擇題數:
0 |
申論題數:
5
試卷資訊
所屬科目:
國營事業◆自動控制
選擇題 (0)
申論題 (5)
【已刪除】(一)試求如下圖系統之轉換函數
。【15 分】
【已刪除】(二)假設
、且 H
1
(s)、H
2
(s)為常數,試闡述 H
1
(s)與 H
2
(s)之間的關係使 得
恆為一非零之常數。【10 分】
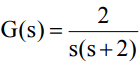
【已刪除】二: 試描繪
的增益頻率響應圖,請由圖中估算 ω = 50 rad/sec 的增益 值,並求出另一個具有相同增益值的頻率。【25 分】
【已刪除】三: 請檢驗下列以動態方程式(dynamical equation)描述的系統之穩定性(stability)與可觀 測性(observability),並將其轉換成輸出輸入轉移函數(I/O transfer function)的形式。(請列 出過程與理由,否則不予計分)【25 分】
【已刪除】四: 在圖 P4-1 與圖 P4-2 中,若
,則單位步階響應 c(t) =
-1
{C(s)}的超 振量 OS 與穩態誤差 e
ss
各為若干?【25 分】