【已刪除】
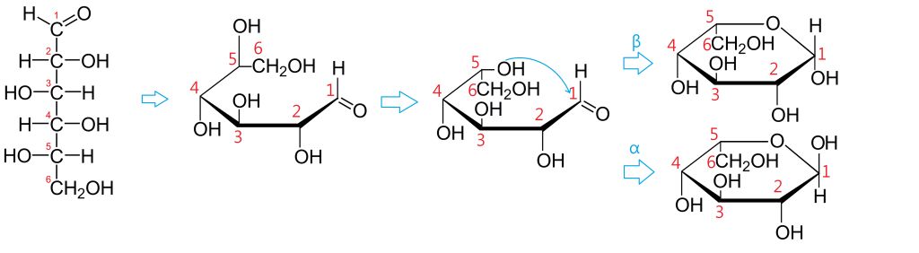
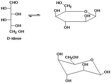
28. 單醣L-idose的Fischer projection如下,下列何者是L-idose形成環狀可能結構?
(A) a
(B) b
(C) c
(D) d 
答案:登入後查看
統計: A(43), B(97), C(208), D(30), E(0) #1815294
統計: A(43), B(97), C(208), D(30), E(0) #1815294
詳解 (共 6 筆)
#5417106
鏈狀轉環狀會多一個掌性中心(1號碳),所以會有兩個產物
推衍:順時針轉90°→5號碳的OH朝向1號碳→5號碳的OH攻擊1號碳→OH的H轉移至1號碳的O-上
參考資料:Fischer to Haworth Projection
11
1
#3697261
答案是錯的,但當年度老師不給分==


9
0
#3697281
補D-idose


5
0