阿摩線上測驗 登入

試題詳解

試卷:115年 - 90004 電腦軟體設計共同科目 乙級 工作項目 07:資料結構 151-200(2026/01/14 更新)#136867 | 科目:技檢◆電腦軟體設計共同科目

試卷資訊

試卷名稱:115年 - 90004 電腦軟體設計共同科目 乙級 工作項目 07:資料結構 151-200(2026/01/14 更新)#136867

年份:115年

科目:技檢◆電腦軟體設計共同科目

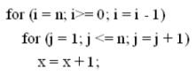
159. 下列仿 C++程式片段之計算時間,何者正確?


(A)θ(log n)
(B)θ(n log n)
(C)θ(n )
(D)θ(n2 ) 。

正確答案:登入後查看