阿摩線上測驗 登入

試題詳解

試卷:115年 - 90004 電腦軟體設計共同科目 乙級 工作項目 07:資料結構 151-200(2026/01/14 更新)#136867 | 科目:技檢◆電腦軟體設計共同科目

試卷資訊

試卷名稱:115年 - 90004 電腦軟體設計共同科目 乙級 工作項目 07:資料結構 151-200(2026/01/14 更新)#136867

年份:115年

科目:技檢◆電腦軟體設計共同科目

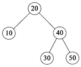
170. 下圖為一個二元樹(Binary Tree),下列之描述何者是正確的?


(A)Complete Binary Tree
(B)Heap
(C)AVL Tree
(D)B+ Tree 。

正確答案:登入後查看