阿摩線上測驗
登入
首頁
>
【段考】國一數學上學期
>
106年 - 2017新北市市立柑園國中七年級106 上學期數學第一次段考(期中考)南一#90130
> 試題詳解
沒有 【段考】國一數學上學期 權限,請先開通.
答案:
登入後查看
統計:
A(0), B(5), C(0), D(0), E(0) #2437485
詳解 (共 3 筆)
麥當勞正宗韓式炸雞好難吃
B1 · 2020/09/07
#4258090
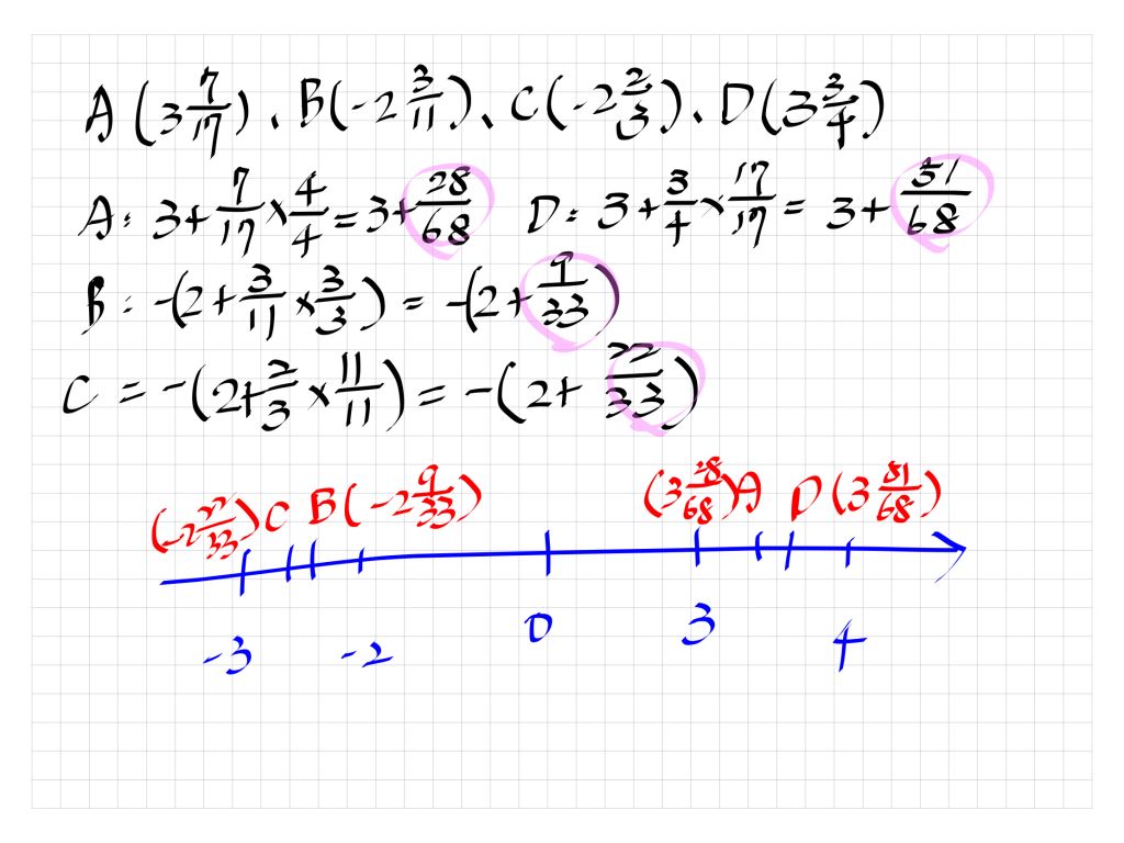
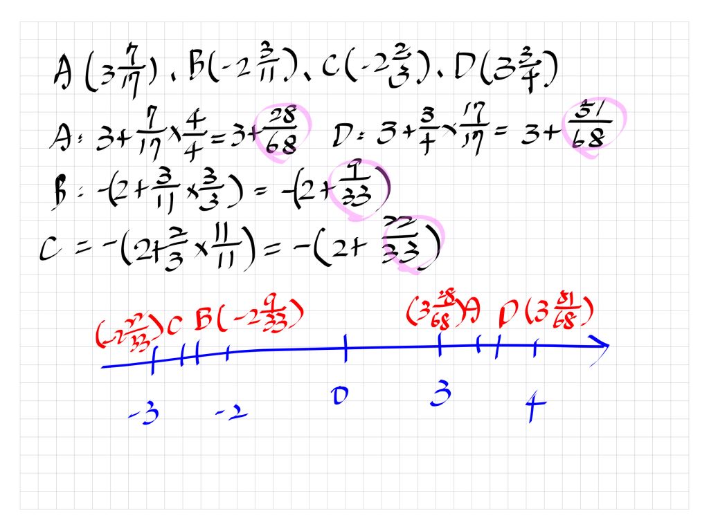
注意負號
0
0
麥當勞正宗韓式炸雞好難吃
B2 · 2020/09/07
#4258093
注意負號
0
0
Erica Huang
B3 · 2020/09/21
#4280184
(共 1 字,隱藏中)
前往觀看
0
0
相關試題
沒有 【段考】國一數學上學期 權限,請先開通.
#2437486
沒有 【段考】國一數學上學期 權限,請先開通.
#2437487
沒有 【段考】國一數學上學期 權限,請先開通.
#2437488
沒有 【段考】國一數學上學期 權限,請先開通.
#2437489
沒有 【段考】國一數學上學期 權限,請先開通.
#2437490
沒有 【段考】國一數學上學期 權限,請先開通.
#2437491
沒有 【段考】國二數學上學期 權限,請先開通.
#2437492
沒有 【段考】國二數學上學期 權限,請先開通.
#2437493
沒有 【段考】國二數學上學期 權限,請先開通.
#2437494
沒有 【段考】國二數學上學期 權限,請先開通.
#2437495
相關試卷
111年 - 南一課本例題習作輕鬆考#111773
2022 年 · #111773
111年 - 111-1高雄市立林園高級中學 國中部一年級第1次段考(數學科)#111771
2022 年 · #111771
111年 - 桃園市立中興國民中學 111學年度第一學期 七年級第一次定期評量數學科#111770
2022 年 · #111770
111年 - 桃園市新興高中附設國中部111學年度第一學期七年級數學科第一次段考試卷#110939
2022 年 · #110939
111年 - 桃園市新興高中附設國中部111學年度第一學期七年級數學科第一次週考試卷(第一單元)#110921
2022 年 · #110921
111年 - 國一上數學總複習#106519
2022 年 · #106519
111年 - 康軒版七上數學科第三章_一元一次方程式#105866
2022 年 · #105866
110年 - 110 高雄市立陽明國中第1學期第 3 次段考一年級數學科試題#112646
2021 年 · #112646
110年 - 台南市立民德國中110學年度第一學期第二次成績考查一年級數學科試題#112062
2021 年 · #112062
110年 - 高雄市私立道明中學110上第二次段考7年級數學科試卷#112040
2021 年 · #112040