阿摩線上測驗
登入
首頁
>
【段考】國三數學下學期
>
105年 - 2016臺中市市立中平國中九年級105 下學期數學第三次段考(期末考)翰林#68454
> 試題詳解
試題詳解
試卷:
105年 - 2016臺中市市立中平國中九年級105 下學期數學第三次段考(期末考)翰林#68454 |
科目:
【段考】國三數學下學期
試卷資訊
試卷名稱:
105年 - 2016臺中市市立中平國中九年級105 下學期數學第三次段考(期末考)翰林#68454
年份:
105年
科目:
【段考】國三數學下學期
沒有 【段考】國三數學下學期 權限,請先開通.
正確答案:
登入後查看
詳解 (共 1 筆)
XMれE
B1 · 2019/07/02
推薦的詳解#3453608
未解鎖
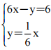
x = 36/35y = 6/35(36...
(共 34 字,隱藏中)
前往觀看
10
0