阿摩線上測驗
登入
首頁
>
【段考】高一數學
>
98年 - 臺北市立高級中學 98 學年度轉學生聯合招生考試 高一數學科#23888
> 試題詳解
沒有 【段考】高一數學 權限,請先開通.
答案:
登入後查看
統計:
A(1), B(0), C(1), D(0), E(5) #881353
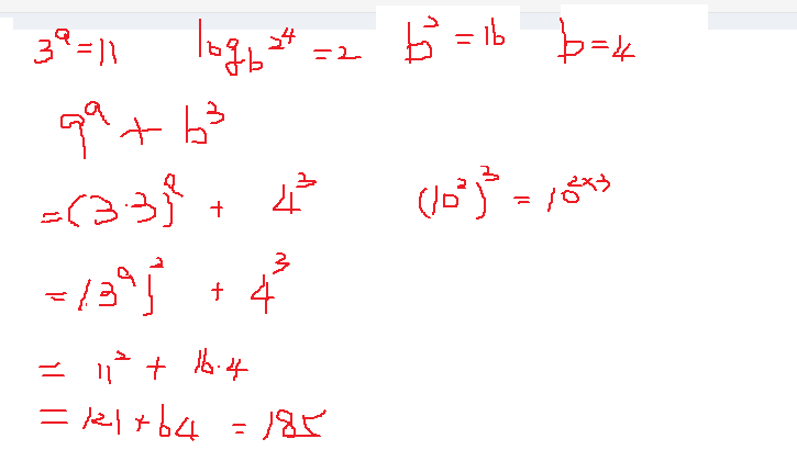
詳解 (共 1 筆)
pole~zero
B1 · 2015/12/10
#1215480
0
0
相關試題
沒有 【段考】高一數學 權限,請先開通.
#881354
沒有 【段考】高一數學 權限,請先開通.
#881355
沒有 【段考】高一數學 權限,請先開通.
#881356
沒有 【段考】高一數學 權限,請先開通.
#881357
沒有 【段考】高一數學 權限,請先開通.
#881358
沒有 【段考】高一數學 權限,請先開通.
#881359
沒有 【段考】高一數學 權限,請先開通.
#881360
沒有 【段考】高一數學 權限,請先開通.
#881361
沒有 【段考】高一數學 權限,請先開通.
#881362
沒有 【段考】高一數學 權限,請先開通.
#881363
相關試卷
110年 - 110-2-1 新民高中初階英文閱讀與寫作練習#108943
2021 年 · #108943
106年 - 多項式的問題#77274
2017 年 · #77274
104年 - 104下1高一數學 - 彰化縣縣立田中高中104 下學期高一數學第一次段考(期中考)#51349
2015 年 · #51349
104年 - 104下1高一數學 - 彰化縣縣立田中高中104 下學期高一數學第一次段考(期中考)#51305
2015 年 · #51305
104年 - 104上2高一數學 - 彰化縣縣立田中高中104 上學期高一數學第二次段考(期中考)#51295
2015 年 · #51295
104年 - 104上1高一數學 - 新北市市立三民高中104 上學期高一數學第一次段考(期中考)#51259
2015 年 · #51259
104年 - 104上2高一數學 - 新北市私立及人高中104 上學期高一數學第二次段考(期中考)#51122
2015 年 · #51122
104年 - 104上1高一數學 - 新北市私立及人高中104 上學期高一數學第一次段考(期中考)#51117
2015 年 · #51117
104年 - 台中一中 -104上期考1高一數學#51059
2015 年 · #51059
103年 - 北一女中第二學期第一次段考一年級數學科試題#79809
2014 年 · #79809