阿摩線上測驗 登入

試題詳解

試卷:114年 - 02900 視聽電子 乙級 工作項目 04:電子學 201-250(2025/10/16 更新)#132297 | 科目:技檢◆視聽電子-乙級

試卷資訊

試卷名稱:114年 - 02900 視聽電子 乙級 工作項目 04:電子學 201-250(2025/10/16 更新)#132297

年份:114年

科目:技檢◆視聽電子-乙級

複選題
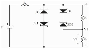
227. (本題刪題)下圖電路所示,假設二極體與稽納二極體(Vz=5V)皆為理想,當 E=+10V 時,下列敘述何者正確?


(A)
(B)V1=2.5V
(C)
(D)V2=7.5V 。

正確答案:登入後查看

詳解 (共 1 筆)

推薦的詳解#6952850
未解鎖
1. 題目解析 在此題中,我們需要分析一...
(共 836 字,隱藏中)
前往觀看
0
0