試卷名稱:96年 - 96 經濟部所屬事業機構_新進職員甄試試題_土木、建築、機械:應用力學#137063
年份:96年
科目:應用力學
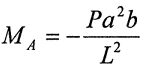
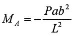
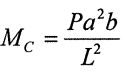
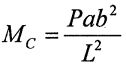
40. 下圖中兩端固定梁 ABC受一作用於B點之力,大小為P。此時固定端力矩為:
(A)(B)(C)(D)