所屬科目:應用力學
1. 下列何者為能量單位: (A) 馬力 (B) 瓦特 (C) 牛頓 (D) 焦耳
2. 一個質點其速度為,若。請問外積rxV在y方向之分量為: (A) -26 m²/sec (B) 5 m²/sec (C) 54 m²/sec (D)30 m²/sec
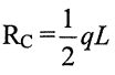
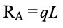
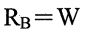
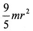
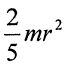
3. 一實心均勻球的轉動慣量為mr²,其中m為質量,r為半徑。當旋轉軸平移一個半徑長度時,則轉動慣量為: (A) (B) (C)(D)
4. 由量測所得到之應變為= +1394 μm/m, = -660 μm/m,與= +2054 μrad。試求此點之應力分量: (A) +325 MPa (B) +276 MPa(C) -138 MPa(D) +55.8 MPa
5. 承上題,此點之最大剪應力為: (A) 235 MPa (B) 213 MPa (C) 194 MPa (D) 87 MPa
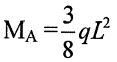
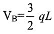
6. 假設梁長為L,其勁度為EI: (A)(B)(C)(D)
7. 承上題,C點之垂直位移為何? (A) PL3/3EI (B) PL3/16EI (C) 5PL3/24EI (D) 5PL3/48EI
8. 如下圖所示,一上端固定的均勻柱子長L,截面積A,重量為W,彈性模數為E。則此柱由自重所造成之伸長量為:
(A) WL/2AE (B) WL/3AE (C) WL/4AE (D) 3WL/5AE
9. 在圓盤中心點O之瞬時速度為: (A) 0 (B) (C) (D)
10. 承上題,在圓盤邊緣P點之瞬時速度為: (A) √2/2 Rwex - √2/2 Rwey (B) √2/2 Rwex + √2/2 Rwey (C) √2 Rwex - √2 Rwey (D) (√2 + 2)/2 Rwex - √2/2 Rwey
11. 三種不同材料個別製作成三個完全相同尺寸之球殼。球殼外半徑p₁、內半徑P₂。當三個球殼受到外壓 P1與內壓 P2的作用下,請問在距球心處,何種材料製成之球殼有最大之軸向應力: (A) 銅 (B) 鋁 (C) 鋼 (D) 皆相同
12. 如圖所示,球重90KN,置於光滑之垂直及傾斜面上,則接觸點A之水平反力為:
(A) 90 KN (B) 120 KN (C) 150 KN (D) 180 KN
13. 如圖所示系統之彈簧勁度K1=10000 N/m,K2=30000 N/m,W=600N,α=30°,且物體之接觸面為平滑,試問彈簧K₁受到的力為多少?
(A) 75 N (B) 100 N (C) 150 N (D) 200 N
14. 如圖所示一簡支梁承受二個相等大小之P力作用,梁為方形斷面(梁深h,梁寬b),假設梁最大容許剪應力為。若此梁之破壞由剪力控制,則梁可承受最大荷重P為(自重不計)多少?
(A) (B)(C) (D)
15. 如圖所示試求梁中點B之彎矩值為多少?
(A) 15 KN-m (B) 18 KN-m (C) 21 KN-m (D) 24 KN-m
16. 如圖所示承受三角形分佈載重之簡支梁,最大彎矩發生的位置距A端約多少?
(A) 1.55 m (B) 2.34 m (C) 3.46 m (D) 4.45 m
17. 圖示A,C,D點均為鉸接,試求B點之彎矩值為多少?
(A) 180 kg-m (B) 270 kg-m (C) 540 kg-m (D) 720 kg-m
18. 如圖所示之剛體結構支承A之彎矩力為多少?
(A) 150 KN-m (B) 400 KN-m (C) 550 KN-m (D) 750 KN-m
19. 如圖所示桁架中A點之垂直反力絕對值大約為:
(A) 600 KN (B) 750 KN (C) 900 KN (D) 1000 KN
20. 如圖所示受外力作用之鋼架,則B點之垂直反力為多少?
(A) 1 KN (B) 3 KN (C) 8 KN (D) 10 KN
21. 如圖所示,已知A之質量60kg,則B之質量需小於多少公斤才不致於引起滑動?
(A) 12 kg (B) 15 kg (C) 18 kg (D) 21 kg
22. 如圖所示結構中,bc桿件之軸力為:
(A) 75 kgf(受壓) (B) 75 kgf(受拉) (C) 120 kgf(受壓) (D) 120kgf(受拉)
23. 如圖所示T型梁斷面對通過形心之A-A軸的面積慣性矩為何?
(A) 8 (B) 8.5 (C) 9 (D) 9.5
24. 如圖所示試估算斜線部分之形心位置y:
(A) 0.16 (B) 0.19 (C) 0.22 (D) 0.25
25. 如圖所示以兩繩支撐之直桿,若直桿不至於傾倒,則其中一繩拉力T為多少?
(A) 300.2 N (B) 600.7 N (C) 1001.9 N (D) 2003.9 N
26. 如圖所示為一繩索和滑輪組合而成的系統,被用以支撐重W之物體。假設每個滑輪均可以自由轉動,若欲維持物體 W於平衡狀態,試求繞經滑輪A和B之繩索拉力T為多少W?(不計滑輪及繩索重量)
(A) W/2 (B) W/4 (C) W (D) 2W
27. 如圖所示之二次曲線分布力量,求合力之大小為多少N?
(A) 80 N (B) 120 N (C) 160 N (D) 200 N
28. 如圖所示兩作用力對剛體中A點之旋轉效應為何?
(A) 240 KN-m (B) 480 KN-m (C) 720 KN-m (D) 780 KN-m
29. 如圖所示之平衡懸索系統,繩子BC之軸力大約為:
(A) 73.2 P (B) 85 P (C) 89.6 P (D) 100 P
30. 試問下列何者為迴轉半徑k( radius of gyration)之單位? (A) kg.m² (B) m (C) m² (D) N. m²/s²
31. 試問以下所列之物量,其相對應於不同座標軸之分量間之關係式,何者是適用於摩爾圓相關計算公式? (A) 應力 (B) 應變 (C) 面積慣性矩 (D) 彎矩
32. 如果F代表力量,m代表質量,t代表時間,L代表長度。下列單位那些相同: (A) FL (B) mL²/t² (C) F/mL (D) F²t²/m
33. 下列那些量具有壓力之單位: (A) 降伏應力 (B) 彈性應變 (C) 楊氏模數(Young's modulus) (D) 普松比(Poisson ratio)
34. 垂直於z軸之平面應變的條件下,下述何者為真(τ,ε,u分別代表應力、應變與位移): (A) (B) (C)(D)與z軸無關
35. 一個懸掛質量塊之彈簧,其彈性常數為k。當彈簧彈性常數增加為2k時,則: (A)自然振動頻率變為2倍 (B)自然振動頻率變為1/√2倍 (C)自然振動頻率變為√2倍 (D)質量塊之靜平衡位置向上升
36. 一個500kg之質量塊,以不能伸長之細繩懸吊如右圖。靜平衡時,繩子的張力為:
(A) (B) (C) (D)
37. 一棒球於空中飛行,其水平與垂直位置座標(x,y)為x(t) = at與y(t) = βt² + γt + δ, 其中t代表時間。則: (A)此球飛行軌跡為拋物線 (B)飛行最高點時,速度為零 (C)飛行最高點時,加速度為2β (D)飛行最高點時,加速度為β
38. 地震P波、地震S波、聲波、電磁波、淺水波之波速各別以為代表。則 (A)(B)(C)(D)
39. 在平面應力下,材料內一點的應力狀態如右圖。下列何者正確:
(A)主應力可以為9000 psi (B)主應力可以為7000 psi (C)主應力可以為-1000 psi (D)最大剪應力為6000 psi
40. 下圖中兩端固定梁 ABC受一作用於B點之力,大小為P。此時固定端力矩為:
(A)(B)(C)(D)
41. 對於剛體(rigidbody)之描述,以下所列何者正確?
(A)外力作用下,剛體內任意二質點間無任何相對位移 (B)外力作用下,剛體內部不會有應變能(strain energy)之產生 (C)外力作用下,剛體內部之應變(strain)不為零 (D)外力作用下,剛體可以移動或轉動
42. 如上圖所示一重量為W的均質圓球,若靜置於二光滑面所構成之V形槽中,試決定在接觸點A及B,由光滑面施加在圓球作用力力量為多少? (A)(B) (C)(D)
43. 圖示三角形對各軸的慣性矩敘述,何者為正確?
(A) (B)(C)(D)
44. 如圖所示,AB梁與BC梁在B點鉸接在一起,下列敘述何者正確?
(A)(B)(C) (D)
45. 下圖所示桁架結構中,各桿件受力何者為正確:
(A) e-g=140 kgf(受拉) (B) e-f=80 kgf(受拉) (C) d-f=-10 kgf(受壓) (D) f-g=-113 kgf(受壓)
46. 如圖所示承受二力作用之簡支梁,下列敘述何者正確?
(A)(B) (C) 點B有最大剪力 (D) 點C有最大彎矩
47. 如圖所示之水平桿件結構,A端為固定端,E端為自由端,以下所列各點斷面內力, 和反力,何者正確?
(A)(向右) (B)(C)(D)
48. 如圖所示,由均質、等向性、線彈性材料所組成之矩形斷面梁受純彎矩M作用,則以下有關 梁曲率之敘述何者正確?
(A) 曲率大小與M成正比 (B) 曲率大小與梁寬b成反比 (C) 曲率大小與楊氏係數E無關 (D) 曲率大小與梁深有關
49. 下列關於斷面之剪力中心(shear center)之敘述,何者正確? (A) 當作用力不通過剪力中心,斷面將產生額外之扭力 (B) 剪力中心不一定位於其斷面上 (C) I型斷面之剪力中心,落在其腹(web)上 (D) 剪力中心之位置除與斷面之幾何形狀有關外,尚與剪力大小相關
50. 公式 G=E/2(1+v)中,下列敘述何者正確? (A) G, E, v互為獨立之材料常數 (B) 一般之材料值介於0~0.3之間 (C) E值可由材料之單軸應力-應變曲線求得 (D) G與E具有與應力相同之單位