試卷名稱:96年 - 96 經濟部所屬事業機構_新進職員甄試試題_土木、建築、機械:應用力學#137063
年份:96年
科目:應用力學
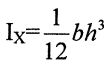
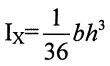
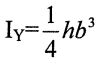
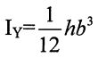
43. 圖示三角形對各軸的慣性矩敘述,何者為正確?
(A) (B)(C)(D)