2 某漢堡業者在經營多年之後,體認出若採取低價策略將難以生存,由此可能顯示:
(A)漢堡的需求彈性很大
(B)漢堡的需求彈性很小
(C)漢堡的供給彈性很大
(D)漢堡的供給彈性很小
答案:登入後查看
統計: A(36), B(183), C(7), D(15), E(0) #2770922
統計: A(36), B(183), C(7), D(15), E(0) #2770922
詳解 (共 4 筆)
#5100181
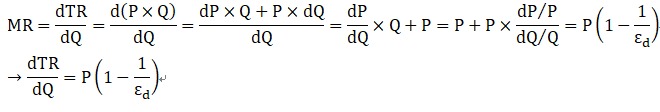
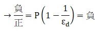
此題是在問薄利多銷是否會賺錢,即TR與Q的變動關係(亦為MR),推導方式如下:

現依題意,降價後收入減少,故dTR小於0,而dQ依需求法則,應大於0,
整體MR應小於0,即彈性應小於1(如0.5,MR即為-P)

10
0
#6273530
需求彈性大,降價提高利潤
需求彈性小,漲價提高利潤
降價不行,那就是漲價行,需求彈性小
0
0