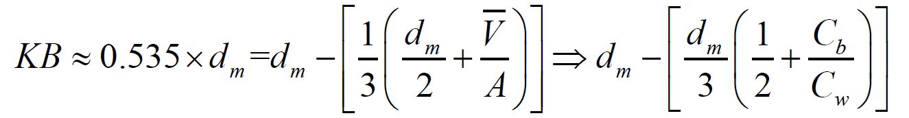
1. 若依據如下摩利斯近似求浮心位置,式中的 X 值為何?【式中:Cb=方塊係數;d=平均吃
水】喫水線至浮心距離(OB)=(d/3)(0.5+Cb/ X)
(A) 菱形係數
(B) 水線面積係數
(C) 垂直菱形係數
(D) 舯橫剖面積係數
答案:登入後查看
統計: A(12), B(172), C(8), D(29), E(0) #1331058
統計: A(12), B(172), C(8), D(29), E(0) #1331058
詳解 (共 1 筆)
#7301595

0
0