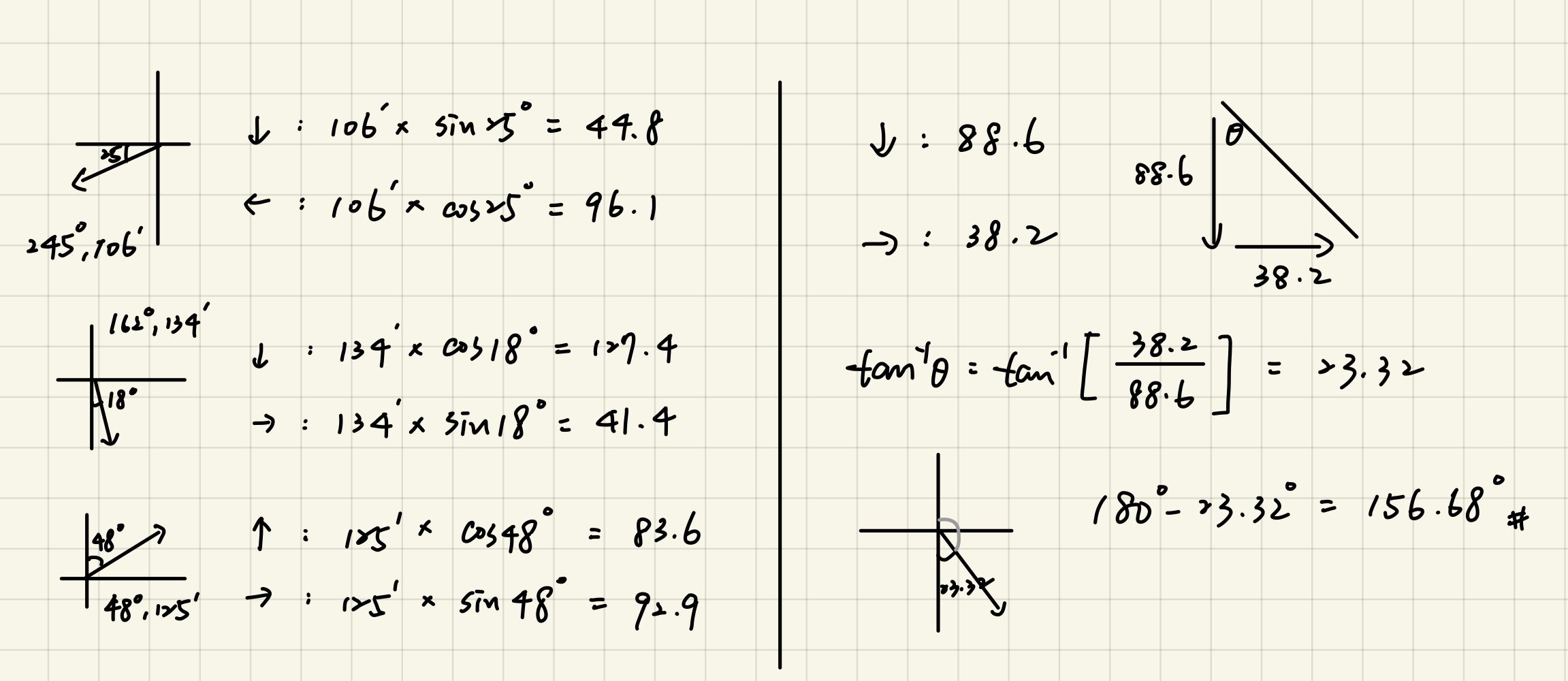
10. 某船依航向245°航行106浬,然後轉向162°航行134浬,最後轉向048°航行125浬。請以聯向航法(Traverse Sailing)求該船之實際航向(C.M.G.)為何?
(A) 113.3°
(B) 156.7°
(C) 203.3°
(D) 246.7°
答案:登入後查看
統計: A(70), B(437), C(118), D(28), E(0) #2439416
統計: A(70), B(437), C(118), D(28), E(0) #2439416

