12 應收帳款帳載金額為$4,000,000,查核人員採用機率與大小成比例(PPS)抽樣,抽樣區間為 20,000,若抽查結果發現
三項錯誤,分別為帳面金額$25,000,查定金額為$15,000;帳面金額$10,000,查定金額為$7,000及帳面金額$5,000,
查定金額為$4,000。則應收帳款的估計總錯誤金額為若干?
(A)$14,000
(B)$15,000
(C)$18,000
(D)$20,000
答案:登入後查看
統計: A(49), B(13), C(18), D(54), E(0) #590308
統計: A(49), B(13), C(18), D(54), E(0) #590308
詳解 (共 3 筆)
#6171423
- 第一項:錯誤金額是直接的,因為它是一個大金額項目(超過抽樣區間)。所以直接25,000-15,000=10,000。
- 第二項和第三項:需要擴張計算,因為它們的錯誤金額在樣本中的影響需要根據帳面金額的比例來進行調整,從而反映在整個母體中的影響。
-
在PPS抽樣中,錯誤的擴張計算是根據樣本項目的帳面金額與查定金額的比例來進行的。這是因為這些項目的帳面金額(相對於其他項目)在樣本中有不同的影響力。擴張錯誤金額是通過以下公式來反映其對整體母體的影響:

這樣計算能使每個錯誤項目對整體母體的影響得到適當反映。
-
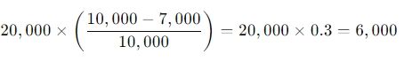
第二項(帳面金額 $10,000,查定金額 $7,000):
- 錯誤金額 $3,000。
- 擴張錯誤金額的計算基於帳面金額與查定金額的比例:

-
第三項(帳面金額 $5,000,查定金額 $4,000):
- 錯誤金額 $1,000。
- 擴張錯誤金額的計算:
-

ㅤㅤ
合計錯誤金額
10,000+6,000+4,000=20,000
2
0
#6008596
(25000-15000)+20000X[(10000-7000)/10000]+20000X[(5000-4000)/5000]=20000
0
0