阿摩線上測驗
登入
首頁
>
建築結構系統
>
107年 - 107 專技高考_建築師:建築結構#72921
> 試題詳解
14 承上題,該梁斷面的彎矩計算強度(M
n
)約為多少 tf-m?
(A)30
(B)39
(C)48
(D)57
答案:
登入後查看
統計:
A(65), B(349), C(199), D(76), E(0) #1899160
詳解 (共 2 筆)
是馨馨子呀_
B2 · 2024/11/01
#6241034
10
0
Qi
B1 · 2019/11/02
#3648046
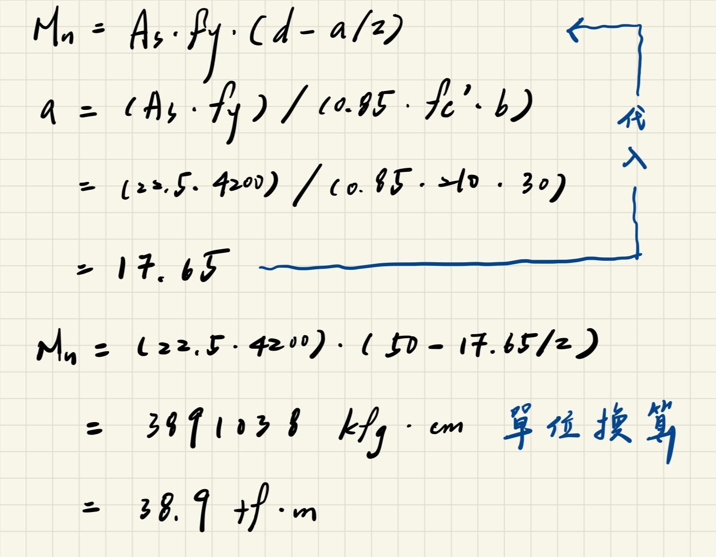
彎矩計算強度MnMn=As*fy*(d-...
(共 75 字,隱藏中)
前往觀看
10
0
私人筆記 (共 1 筆)
漢堡
2022/09/25
私人筆記#4586382
未解鎖
a=(As*fy)/(0.85*fc'*...
(共 52 字,隱藏中)
前往觀看
9
1
相關試題
1 下列何者為面積慣性矩(I)之單位? (A)cm (B)cm2 (C)cm3 (D)cm4
#1899147
2 圖示各結構物之彎矩圖中,何者錯誤? (A)甲乙丙丁 (B)僅甲丙丁 (C)僅甲乙丁 (D)僅乙丙
#1899148
3 一簡支梁跨距長 L,受到均勻分布載重 w 之作用。若其他條件不變,載重改為梁中央受集中 外力 P = wL 作用,則梁中央之彎矩為原來的幾倍? (A)2/3 (B)1 (C)5/8 (D)2
#1899149
4 承上題,則梁中央之撓度為原來的幾倍? (A)2/3(B)1(C)8/5 (D)2
#1899150
5 下列四個具相同長度及斷面之梁承受相同集中力作用,則集中力作用處之撓度其大小順序為何? (A) (B) (C) (D)
#1899151
6 一懸臂梁如圖所示,其斷面所承受之最大彎矩為 β•WL2 ,試問 β 值為何? (A)1/2 (B)1/4 (C)1/6 (D)1/8
#1899152
7 依建築物耐震設計規範進行設計地震力之靜力分析時,有意外扭矩之規定,此規定主要係考 慮下列那一因素? (A)設計地震力之豎向分配的不確定性 (B)構造物之傾倒力矩作用 (C)結構平面剛心位置的偏差影響 (D)質心位置的不確定性
#1899153
8 圖示桁架結構在外力作用下,AB 桿件之內力為何? (A)6 kN 張力 (B)8 kN 張力 (C)6 kN 壓力 (D)8 kN 壓力
#1899154
9 如圖所示之 AB 及 BC 桿件,桿件之彈性係數 E 均相同,AB 及 BC 之斷面積分別為 40 cm2及 20 cm2 ,該組合桿件於 B 點及 C 點分別承受 800 N 和 400 N 之作用力,下列敘述何者正確? (A)AB 桿件及 BC 桿件所受之應力相等 (B)AB桿件所受之應力大於BC桿件所受之應力 (C)AB 桿件之伸長量等於 BC 桿件之伸長量 (D)AB 桿件之伸長量小於 BC 桿件之伸長量
#1899155
10 如下圖所示之桁架,關於 A、B、C 三桿件的受力敘述,何者正確? (A)A 桿、B 桿均受張力 (B)A 桿受張力、B 桿受壓力 (C)B 桿受張力、C 桿不受力 (D)A 桿受壓力、C 桿受張力
#1899156
相關試卷
114年 - 114 專技高考_建築師:建築結構#133658
2025 年 · #133658
114年 - 114 公務升官等考試_薦任_建築工程:建築結構系統#133157
2025 年 · #133157
113年 - 113 臺灣菸酒股份有限公司_評價職位人員轉任職員甄試試題_建築工程(北一區)_專業科目 1:建築結構系統、建築構造施工#137380
2024 年 · #137380
113年 - 113-2 國營臺灣鐵路股份有限公司_從業人員甄試試題_第9階-技術員-建築工程:建築結構系統概要#137152
2024 年 · #137152
113年 - 113-2 國營臺灣鐵路股份有限公司_從業人員甄試_第8階-助理工程師-建築工程:建築結構系統#137128
2024 年 · #137128
113年 - 113 國營臺灣鐵路股份有限公司_從業人員甄試_第 8 階-助理工程師-建築工程:建築結構系統#137101
2024 年 · #137101
113年 - 113 專技高考_建築師:建築結構#123947
2024 年 · #123947
112年 - 112 臺灣菸酒股份有限公司_評價職位人員轉任職員甄試試題_從業職員_建築(土木)工程_專業科目 1:建築結構系統、建築構造施工#137423
2023 年 · #137423
112年 - 112 地方政府特種考試_三等_建築工程:建築結構系統#118181
2023 年 · #118181
112年 - 112 專技高考_建築師:建築結構#117513
2023 年 · #117513