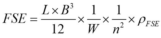
15. 下列何者是影響自由液面效應的主要因素?
(A) 艙槽長度
(B) 艙槽寬度
(C) 艙槽高度
(D) 艙槽位置
答案:登入後查看
統計: A(3), B(33), C(6), D(6), E(0) #3833569
統計: A(3), B(33), C(6), D(6), E(0) #3833569
詳解 (共 1 筆)
#7312387

4
0